MoBA
MoBA(Mixture of Block Attention)是一款专为提升大语言模型长文本处理能力而设计的开源注意力机制优化方案。它主要解决了传统注意力机制在处理超长上下文时,计算复杂度呈平方级增长导致的效率瓶颈问题,同时避免了现有稀疏注意力方法因预设结构偏差而可能损失模型性能的挑战。
该工具特别适合 AI 研究人员、大模型开发者以及需要部署长上下文应用的技术团队使用。其核心亮点在于创新性地将“混合专家”(MoE)理念引入注意力机制:通过将上下文分块,让模型自主判断并仅关注最相关的信息块,而非依赖人工设定的规则。MoBA 采用无参数的门控机制来动态选择关键区块,既大幅降低了计算开销,又保留了模型的灵活性。更独特的是,它支持在全量注意力与稀疏注意力模式间无缝切换,且已在月之暗面 Kimi 的长文本服务中得到实际验证。需要注意的是,MoBA 并非即插即用插件,需要对现有模型进行继续训练以激活其加速优势,但其提供的高效实现相比基础版本可带来显著的速度提升,是探索高效长上下文建模的有力工具。
使用场景
某法律科技团队正在构建一款能自动分析数百页并购合同并提取关键风险条款的智能助手,需处理单次输入超过 10 万字的长文档。
没有 MoBA 时
- 推理延迟极高:传统注意力机制随文本长度呈二次方增长,处理百页合同需数分钟,用户无法实时交互。
- 显存资源爆炸:全量计算 KV 缓存导致显存占用过大,普通显卡无法加载长上下文模型,必须依赖昂贵集群。
- 关键信息遗漏:为节省算力强行截断文本或使用固定窗口注意力,导致分布在文档首尾的风险条款被忽略。
- 架构调整困难:现有稀疏注意力方案往往引入强结构偏差,难以适配复杂的法律逻辑推理任务。
使用 MoBA 后
- 推理速度飞跃:MoBA 将全文分块并让模型自主筛选关键块,在百万级上下文下实现数十倍加速,响应缩短至秒级。
- 显存效率优化:通过无参数的 Top-K 门控机制仅计算高价值块,大幅降低显存峰值,使长文本处理可在单卡运行。
- 全局精准定位:模型不再受固定窗口限制,能像“大海捞针”一样精准捕捉分散在文档各处的关键风险点,准确率显著提升。
- 平滑部署升级:MoBA 支持在全量与稀疏注意力间无缝切换,团队无需重构模型架构,仅需继续训练即可复用现有 Llama 系列基座。
MoBA 通过让模型自主决定“关注哪里”,在保持高精度的同时打破了长上下文处理的算力瓶颈,让超长文档智能分析真正落地。
运行环境要求
- 未说明
必需 NVIDIA GPU(依赖 flash-attn),具体型号和显存大小未说明,需支持 CUDA(版本未明确,通常由 torch 和 flash-attn 决定)
未说明

快速开始
MoBA:用于长上下文大语言模型的块注意力混合机制
🚀 重磅推出 MoBA --- 块注意力混合机制
- 可训练的块稀疏注意力:将完整上下文划分为多个块,每个查询 token 自主学习关注最相关的 KV 块,从而高效处理长序列。
- 无参数门控机制:引入一种新颖的无参数 top-k 门控机制,为每个查询 token 选择最相关的块,确保模型仅聚焦于最具信息量的块。
- 全注意力与稀疏注意力之间的无缝切换:MoBA 被设计为全注意力机制的灵活替代方案,可在全注意力和稀疏注意力模式之间实现平滑过渡。
注意:MoBA 需要对现有模型进行持续训练,才能发挥其加速优势。它并非一种即插即用的稀疏注意力解决方案,无法直接应用于预训练模型而无需额外训练。
摘要
扩展有效上下文长度对于推动大型语言模型(LLMs)向通用人工智能(AGI)迈进至关重要。然而,传统注意力机制固有的二次方复杂度增长带来了难以承受的计算开销。现有的方法要么引入强偏置结构,如针对特定任务的 sink 注意力或窗口注意力;要么将注意力机制彻底改造为线性近似,但其在复杂推理任务中的表现仍有待充分探索。
在本工作中,我们提出了一种遵循“少结构”原则的解决方案,允许模型自主决定关注的位置,而非预先设定偏置。我们提出了块注意力混合机制(MoBA),这是一种将专家混合模型(MoE)的思想应用于注意力机制的创新方法。该架构在长上下文任务中表现出色,并具备一个关键优势:能够在全注意力和稀疏注意力之间无缝切换,从而提升效率而不牺牲性能。MoBA 已被部署以支持 Kimi 的长上下文请求,并在 LLM 的高效注意力计算方面展现出显著进展。
我们的代码已开源,详见 MoonshotAI/MoBA。
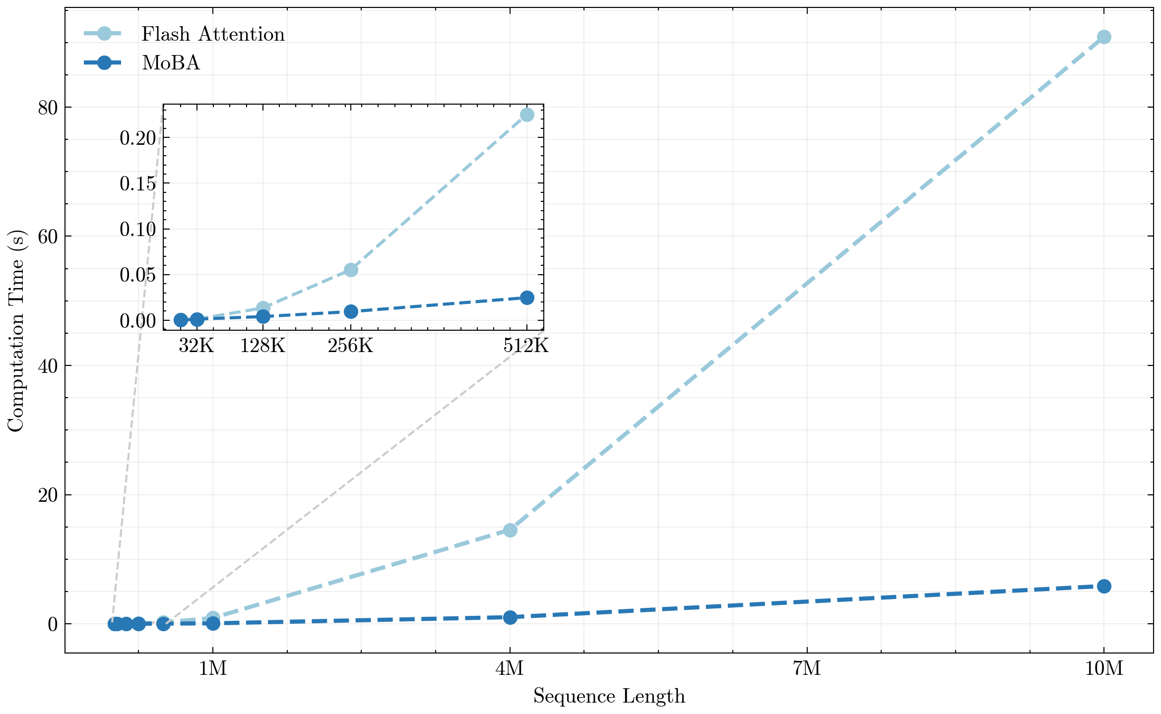
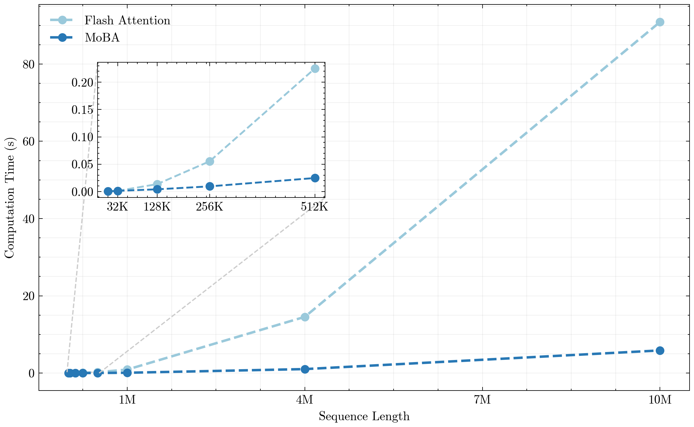
100万词上下文长度下的评估
环境配置
请注意,当前内核实现依赖 flash-attn==2.6.3 和 torch >= 2.1.0
conda create -n moba python=3.10
conda activate moba
pip install .
快速入门
我们提供了兼容 Hugging Face Transformers 的 MoBA 实现。
您可以通过 --attn 参数在 moba 和 moba_naive 之间选择不同的注意力后端。
python3 examples/llama.py --model meta-llama/Llama-3.1-8B --attn moba
实现细节
- moba_naive:基于注意力掩码的朴素实现,旨在帮助理解 MoBA 如何选择对应的块。您可以保存并可视化注意力掩码,以观察块的选择过程。
- moba_efficient:我们面向生产环境的高性能优化实现。与 moba_naive 相比,其速度最高可提升 40 倍(测试条件:序列长度 32K,1 个注意力头,MoBA 块大小 2048,MoBA Topk 3)。我们建议在实际应用中使用此版本。
单元测试
pytest tests/test_moba_attn.py
参考文献
- Llama 实现:huggingface/transformers
- Flash Attention:Dao-AILab/flash-attention
引用
如果您认为 MoBA 对您的工作有所帮助或希望在项目中使用,请引用我们的论文:
@article{lu2025mobamixtureblockattention,
author = {Enzhe Lu and Zhejun Jiang and Jingyuan Liu and Yulun Du and Tao Jiang and Chao Hong and Shaowei Liu and Weiran He and Enming Yuan and Yuzhi Wang and Zhiqi Huang and Huan Yuan and Suting Xu and Xinran Xu and Guokun Lai and Yanru Chen and Huabin Zheng and Junjie Yan and Jianlin Su and Yuxin Wu and Yutao Zhang and Zhilin Yang and Xinyu Zhou and Mingxing Zhang and Jiezhong Qiu},
title = {MoBA: Mixture of Block Attention for Long-Context LLMs},
journal={arXiv preprint arXiv:2502.13189},
year={2025}
}
常见问题
相似工具推荐
openclaw
OpenClaw 是一款专为个人打造的本地化 AI 助手,旨在让你在自己的设备上拥有完全可控的智能伙伴。它打破了传统 AI 助手局限于特定网页或应用的束缚,能够直接接入你日常使用的各类通讯渠道,包括微信、WhatsApp、Telegram、Discord、iMessage 等数十种平台。无论你在哪个聊天软件中发送消息,OpenClaw 都能即时响应,甚至支持在 macOS、iOS 和 Android 设备上进行语音交互,并提供实时的画布渲染功能供你操控。 这款工具主要解决了用户对数据隐私、响应速度以及“始终在线”体验的需求。通过将 AI 部署在本地,用户无需依赖云端服务即可享受快速、私密的智能辅助,真正实现了“你的数据,你做主”。其独特的技术亮点在于强大的网关架构,将控制平面与核心助手分离,确保跨平台通信的流畅性与扩展性。 OpenClaw 非常适合希望构建个性化工作流的技术爱好者、开发者,以及注重隐私保护且不愿被单一生态绑定的普通用户。只要具备基础的终端操作能力(支持 macOS、Linux 及 Windows WSL2),即可通过简单的命令行引导完成部署。如果你渴望拥有一个懂你
n8n
n8n 是一款面向技术团队的公平代码(fair-code)工作流自动化平台,旨在让用户在享受低代码快速构建便利的同时,保留编写自定义代码的灵活性。它主要解决了传统自动化工具要么过于封闭难以扩展、要么完全依赖手写代码效率低下的痛点,帮助用户轻松连接 400 多种应用与服务,实现复杂业务流程的自动化。 n8n 特别适合开发者、工程师以及具备一定技术背景的业务人员使用。其核心亮点在于“按需编码”:既可以通过直观的可视化界面拖拽节点搭建流程,也能随时插入 JavaScript 或 Python 代码、调用 npm 包来处理复杂逻辑。此外,n8n 原生集成了基于 LangChain 的 AI 能力,支持用户利用自有数据和模型构建智能体工作流。在部署方面,n8n 提供极高的自由度,支持完全自托管以保障数据隐私和控制权,也提供云端服务选项。凭借活跃的社区生态和数百个现成模板,n8n 让构建强大且可控的自动化系统变得简单高效。
AutoGPT
AutoGPT 是一个旨在让每个人都能轻松使用和构建 AI 的强大平台,核心功能是帮助用户创建、部署和管理能够自动执行复杂任务的连续型 AI 智能体。它解决了传统 AI 应用中需要频繁人工干预、难以自动化长流程工作的痛点,让用户只需设定目标,AI 即可自主规划步骤、调用工具并持续运行直至完成任务。 无论是开发者、研究人员,还是希望提升工作效率的普通用户,都能从 AutoGPT 中受益。开发者可利用其低代码界面快速定制专属智能体;研究人员能基于开源架构探索多智能体协作机制;而非技术背景用户也可直接选用预置的智能体模板,立即投入实际工作场景。 AutoGPT 的技术亮点在于其模块化“积木式”工作流设计——用户通过连接功能块即可构建复杂逻辑,每个块负责单一动作,灵活且易于调试。同时,平台支持本地自托管与云端部署两种模式,兼顾数据隐私与使用便捷性。配合完善的文档和一键安装脚本,即使是初次接触的用户也能在几分钟内启动自己的第一个 AI 智能体。AutoGPT 正致力于降低 AI 应用门槛,让人人都能成为 AI 的创造者与受益者。
stable-diffusion-webui
stable-diffusion-webui 是一个基于 Gradio 构建的网页版操作界面,旨在让用户能够轻松地在本地运行和使用强大的 Stable Diffusion 图像生成模型。它解决了原始模型依赖命令行、操作门槛高且功能分散的痛点,将复杂的 AI 绘图流程整合进一个直观易用的图形化平台。 无论是希望快速上手的普通创作者、需要精细控制画面细节的设计师,还是想要深入探索模型潜力的开发者与研究人员,都能从中获益。其核心亮点在于极高的功能丰富度:不仅支持文生图、图生图、局部重绘(Inpainting)和外绘(Outpainting)等基础模式,还独创了注意力机制调整、提示词矩阵、负向提示词以及“高清修复”等高级功能。此外,它内置了 GFPGAN 和 CodeFormer 等人脸修复工具,支持多种神经网络放大算法,并允许用户通过插件系统无限扩展能力。即使是显存有限的设备,stable-diffusion-webui 也提供了相应的优化选项,让高质量的 AI 艺术创作变得触手可及。
everything-claude-code
everything-claude-code 是一套专为 AI 编程助手(如 Claude Code、Codex、Cursor 等)打造的高性能优化系统。它不仅仅是一组配置文件,而是一个经过长期实战打磨的完整框架,旨在解决 AI 代理在实际开发中面临的效率低下、记忆丢失、安全隐患及缺乏持续学习能力等核心痛点。 通过引入技能模块化、直觉增强、记忆持久化机制以及内置的安全扫描功能,everything-claude-code 能显著提升 AI 在复杂任务中的表现,帮助开发者构建更稳定、更智能的生产级 AI 代理。其独特的“研究优先”开发理念和针对 Token 消耗的优化策略,使得模型响应更快、成本更低,同时有效防御潜在的攻击向量。 这套工具特别适合软件开发者、AI 研究人员以及希望深度定制 AI 工作流的技术团队使用。无论您是在构建大型代码库,还是需要 AI 协助进行安全审计与自动化测试,everything-claude-code 都能提供强大的底层支持。作为一个曾荣获 Anthropic 黑客大奖的开源项目,它融合了多语言支持与丰富的实战钩子(hooks),让 AI 真正成长为懂上
ComfyUI
ComfyUI 是一款功能强大且高度模块化的视觉 AI 引擎,专为设计和执行复杂的 Stable Diffusion 图像生成流程而打造。它摒弃了传统的代码编写模式,采用直观的节点式流程图界面,让用户通过连接不同的功能模块即可构建个性化的生成管线。 这一设计巧妙解决了高级 AI 绘图工作流配置复杂、灵活性不足的痛点。用户无需具备编程背景,也能自由组合模型、调整参数并实时预览效果,轻松实现从基础文生图到多步骤高清修复等各类复杂任务。ComfyUI 拥有极佳的兼容性,不仅支持 Windows、macOS 和 Linux 全平台,还广泛适配 NVIDIA、AMD、Intel 及苹果 Silicon 等多种硬件架构,并率先支持 SDXL、Flux、SD3 等前沿模型。 无论是希望深入探索算法潜力的研究人员和开发者,还是追求极致创作自由度的设计师与资深 AI 绘画爱好者,ComfyUI 都能提供强大的支持。其独特的模块化架构允许社区不断扩展新功能,使其成为当前最灵活、生态最丰富的开源扩散模型工具之一,帮助用户将创意高效转化为现实。
