Predictive-Maintenance-using-LSTM
Predictive-Maintenance-using-LSTM 是一个基于 Python 和 Keras 框架的开源项目,旨在利用长短期记忆网络(LSTM)解决航空发动机的预测性维护难题。它通过分析模拟的航空传感器数据(如温度、压力等多变量时间序列),精准预测发动机剩余的可用寿命或判断其在未来特定周期内是否会发生故障。
该项目主要解决了传统定期维护成本高且效率低的问题,将维护策略转变为“按需维护”。具体而言,它能回答两个核心问题:一是回归预测,即发动机还能安全运行多少个循环;二是二分类预测,即发动机是否会在近期失效。实验数据显示,其二分类模型的准确率高达 97%,召回率达到 100%,表现出卓越的可靠性。
此工具非常适合人工智能开发者、数据科学家以及从事工业物联网研究的学者使用。对于希望深入理解如何将深度学习应用于时序数据分析和设备健康管理的专业人士来说,这是一个极佳的实践范例。其技术亮点在于成功构建了处理多变量时间序列的 LSTM 模型,并提供了完整的训练、评估代码及可在 Google Colab 直接运行的环境,帮助用户快速复现结果并应用于实际场景。
使用场景
某大型航空货运公司利用机队历史传感器数据,试图优化其涡轮风扇发动机的维护策略以降低停飞风险。
没有 Predictive-Maintenance-using-LSTM 时
- 维护决策盲目:工程师只能依赖固定的飞行周期或简单的阈值报警进行检修,无法准确判断发动机剩余寿命,导致“过度维护”浪费资源或“维护不足”引发故障。
- 突发停机频发:由于缺乏对多变量时间序列(如温度、压力等 21 项传感器读数)的深度关联分析,难以预测突发性失效,常造成航班紧急取消和高额赔偿。
- 数据价值闲置:海量的历史运行数据和故障记录仅作为档案存储,未能转化为可指导未来的预测模型,人工分析效率极低且误差大。
使用 Predictive-Maintenance-using-LSTM 后
- 精准寿命预测:基于 LSTM 循环神经网络构建回归模型,能结合 21 维传感器数据精准输出每台发动机的剩余可用循环数(RUL),将平均绝对误差控制在较低水平。
- 风险提前预警:通过二分类模型判断发动机是否会在特定周期内失效(准确率高达 97%),使维护团队能提前数周规划备件与人力,彻底消除非计划性停飞。
- 数据驱动闭环:直接将多维时间序列数据转化为可执行的维护指令,实现了从“被动救火”到“主动预防”的转型,显著提升了机队出勤率。
Predictive-Maintenance-using-LSTM 通过将复杂的传感器时序数据转化为精确的故障倒计时,帮助航空企业实现了维护成本与安全性的最佳平衡。
运行环境要求
未说明
未说明

快速开始
用于预测性维护的循环神经网络
- 作者:翁贝托·格里福
- Twitter:@UmbertoGriffo
Colab
您可以在 Colab 上直接尝试代码。将副本保存到您的云端硬盘,尽情体验吧!
软件环境
- Python 3.6
- numpy 1.13.3
- scipy 0.19.1
- matplotlib 2.0.2
- spyder 3.2.3
- scikit-learn 0.19.0
- h5py 2.7.0
- Pillow 4.2.1
- pandas 0.20.3
- TensorFlow 1.3.0
- Keras 2.1.1
问题描述
在本示例中,我构建了一个 LSTM 网络,用于根据 [3] 中描述的情景,预测航空发动机的剩余使用寿命(或失效时间)。该情景参考了 [1] 和 [2] 的内容。该网络利用模拟的航空传感器数据来预测飞机发动机何时会发生故障,从而提前规划维护工作。 问题可以表述为:“基于这些航空发动机的运行和失效历史记录,我们能否预测一台正在服役的发动机何时会失效?”我们将这个问题重新表述为两个密切相关的问题,并使用两种不同类型的机器学习模型来解答:
* 回归模型:一台正在服役的发动机还能再运行多少个周期才会失效?
* 二分类问题:这台发动机是否会在 w1 个周期内发生故障?
数据概览
在 Dataset 目录下,包含了训练集、测试集和真实标签数据集。训练数据由“周期”作为时间单位的 多条多变量时间序列 组成,每条序列包含每个周期的 21 个传感器读数。可以假设每条时间序列都来自同一型号的不同发动机。测试数据与训练数据具有相同的数据结构,唯一的区别在于测试数据并未标注故障发生的时间。最后,真实标签数据提供了测试集中各台发动机剩余的工作周期数。 下图展示了部分数据样本:
实验结果
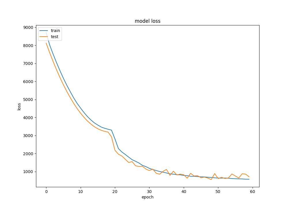
回归模型结果
| 平均绝对误差 | 决定系数 (R^2) |
|---|---|
| 12 | 0.7965 |
以下图片展示了损失函数、平均绝对误差、R^2 以及实际数据与预测数据的对比趋势:
二分类模型结果
| 准确率 | 精确率 | 召回率 | F1 分数 |
|---|---|---|---|
| 0.97 | 0.92 | 1.0 | 0.96 |
以下图片展示了损失函数、准确率以及实际数据与预测数据的对比趋势:
扩展
我们还可以创建一个模型来判断故障是否会在不同的时间窗口内发生,例如,在时间窗口 (1, w0) 内发生故障,或者在时间窗口 (w0+1, w1) 天内发生故障,等等。这将转化为一个多分类问题,需要对数据进行相应的预处理。
哪些文献引用了本研究?
- 在 物联网动手人工智能 一书的第 10 章中
- 在 移动与无线通信及实际用例场景 一书的第 7 章中
- 巴塞罗那大学硕士论文《利用循环神经网络预测事件发生时间》(西班牙巴塞罗那)。可在此处查阅:这里
- 论文《探索云辅助微型机器学习在 PHM 场景中的应用模式》。可在此处查阅:这里 和 这里
参考文献
- [1] 预测性维护中的深度学习 https://github.com/Azure/lstms_for_predictive_maintenance/blob/master/Deep%20Learning%20Basics%20for%20Predictive%20Maintenance.ipynb
- [2] 预测性维护:第 2A 步,训练并评估回归模型 https://gallery.azure.ai/Experiment/Predictive-Maintenance-Step-2A-of-3-train-and-evaluate-regression-models-2
- [3] A. Saxena 和 K. Goebel(2008 年)。“涡扇发动机退化仿真数据集”,NASA Ames 预测性维护数据仓库(https://ti.arc.nasa.gov/tech/dash/groups/pcoe/prognostic-data-repository/#turbofan),NASA Ames 研究中心,莫菲特场,加利福尼亚州
- [4] 理解 LSTM 网络 http://colah.github.io/posts/2015-08-Understanding-LSTMs/
常见问题
相似工具推荐
openclaw
OpenClaw 是一款专为个人打造的本地化 AI 助手,旨在让你在自己的设备上拥有完全可控的智能伙伴。它打破了传统 AI 助手局限于特定网页或应用的束缚,能够直接接入你日常使用的各类通讯渠道,包括微信、WhatsApp、Telegram、Discord、iMessage 等数十种平台。无论你在哪个聊天软件中发送消息,OpenClaw 都能即时响应,甚至支持在 macOS、iOS 和 Android 设备上进行语音交互,并提供实时的画布渲染功能供你操控。 这款工具主要解决了用户对数据隐私、响应速度以及“始终在线”体验的需求。通过将 AI 部署在本地,用户无需依赖云端服务即可享受快速、私密的智能辅助,真正实现了“你的数据,你做主”。其独特的技术亮点在于强大的网关架构,将控制平面与核心助手分离,确保跨平台通信的流畅性与扩展性。 OpenClaw 非常适合希望构建个性化工作流的技术爱好者、开发者,以及注重隐私保护且不愿被单一生态绑定的普通用户。只要具备基础的终端操作能力(支持 macOS、Linux 及 Windows WSL2),即可通过简单的命令行引导完成部署。如果你渴望拥有一个懂你
stable-diffusion-webui
stable-diffusion-webui 是一个基于 Gradio 构建的网页版操作界面,旨在让用户能够轻松地在本地运行和使用强大的 Stable Diffusion 图像生成模型。它解决了原始模型依赖命令行、操作门槛高且功能分散的痛点,将复杂的 AI 绘图流程整合进一个直观易用的图形化平台。 无论是希望快速上手的普通创作者、需要精细控制画面细节的设计师,还是想要深入探索模型潜力的开发者与研究人员,都能从中获益。其核心亮点在于极高的功能丰富度:不仅支持文生图、图生图、局部重绘(Inpainting)和外绘(Outpainting)等基础模式,还独创了注意力机制调整、提示词矩阵、负向提示词以及“高清修复”等高级功能。此外,它内置了 GFPGAN 和 CodeFormer 等人脸修复工具,支持多种神经网络放大算法,并允许用户通过插件系统无限扩展能力。即使是显存有限的设备,stable-diffusion-webui 也提供了相应的优化选项,让高质量的 AI 艺术创作变得触手可及。
everything-claude-code
everything-claude-code 是一套专为 AI 编程助手(如 Claude Code、Codex、Cursor 等)打造的高性能优化系统。它不仅仅是一组配置文件,而是一个经过长期实战打磨的完整框架,旨在解决 AI 代理在实际开发中面临的效率低下、记忆丢失、安全隐患及缺乏持续学习能力等核心痛点。 通过引入技能模块化、直觉增强、记忆持久化机制以及内置的安全扫描功能,everything-claude-code 能显著提升 AI 在复杂任务中的表现,帮助开发者构建更稳定、更智能的生产级 AI 代理。其独特的“研究优先”开发理念和针对 Token 消耗的优化策略,使得模型响应更快、成本更低,同时有效防御潜在的攻击向量。 这套工具特别适合软件开发者、AI 研究人员以及希望深度定制 AI 工作流的技术团队使用。无论您是在构建大型代码库,还是需要 AI 协助进行安全审计与自动化测试,everything-claude-code 都能提供强大的底层支持。作为一个曾荣获 Anthropic 黑客大奖的开源项目,它融合了多语言支持与丰富的实战钩子(hooks),让 AI 真正成长为懂上
ComfyUI
ComfyUI 是一款功能强大且高度模块化的视觉 AI 引擎,专为设计和执行复杂的 Stable Diffusion 图像生成流程而打造。它摒弃了传统的代码编写模式,采用直观的节点式流程图界面,让用户通过连接不同的功能模块即可构建个性化的生成管线。 这一设计巧妙解决了高级 AI 绘图工作流配置复杂、灵活性不足的痛点。用户无需具备编程背景,也能自由组合模型、调整参数并实时预览效果,轻松实现从基础文生图到多步骤高清修复等各类复杂任务。ComfyUI 拥有极佳的兼容性,不仅支持 Windows、macOS 和 Linux 全平台,还广泛适配 NVIDIA、AMD、Intel 及苹果 Silicon 等多种硬件架构,并率先支持 SDXL、Flux、SD3 等前沿模型。 无论是希望深入探索算法潜力的研究人员和开发者,还是追求极致创作自由度的设计师与资深 AI 绘画爱好者,ComfyUI 都能提供强大的支持。其独特的模块化架构允许社区不断扩展新功能,使其成为当前最灵活、生态最丰富的开源扩散模型工具之一,帮助用户将创意高效转化为现实。
gemini-cli
gemini-cli 是一款由谷歌推出的开源 AI 命令行工具,它将强大的 Gemini 大模型能力直接集成到用户的终端环境中。对于习惯在命令行工作的开发者而言,它提供了一条从输入提示词到获取模型响应的最短路径,无需切换窗口即可享受智能辅助。 这款工具主要解决了开发过程中频繁上下文切换的痛点,让用户能在熟悉的终端界面内直接完成代码理解、生成、调试以及自动化运维任务。无论是查询大型代码库、根据草图生成应用,还是执行复杂的 Git 操作,gemini-cli 都能通过自然语言指令高效处理。 它特别适合广大软件工程师、DevOps 人员及技术研究人员使用。其核心亮点包括支持高达 100 万 token 的超长上下文窗口,具备出色的逻辑推理能力;内置 Google 搜索、文件操作及 Shell 命令执行等实用工具;更独特的是,它支持 MCP(模型上下文协议),允许用户灵活扩展自定义集成,连接如图像生成等外部能力。此外,个人谷歌账号即可享受免费的额度支持,且项目基于 Apache 2.0 协议完全开源,是提升终端工作效率的理想助手。
markitdown
MarkItDown 是一款由微软 AutoGen 团队打造的轻量级 Python 工具,专为将各类文件高效转换为 Markdown 格式而设计。它支持 PDF、Word、Excel、PPT、图片(含 OCR)、音频(含语音转录)、HTML 乃至 YouTube 链接等多种格式的解析,能够精准提取文档中的标题、列表、表格和链接等关键结构信息。 在人工智能应用日益普及的今天,大语言模型(LLM)虽擅长处理文本,却难以直接读取复杂的二进制办公文档。MarkItDown 恰好解决了这一痛点,它将非结构化或半结构化的文件转化为模型“原生理解”且 Token 效率极高的 Markdown 格式,成为连接本地文件与 AI 分析 pipeline 的理想桥梁。此外,它还提供了 MCP(模型上下文协议)服务器,可无缝集成到 Claude Desktop 等 LLM 应用中。 这款工具特别适合开发者、数据科学家及 AI 研究人员使用,尤其是那些需要构建文档检索增强生成(RAG)系统、进行批量文本分析或希望让 AI 助手直接“阅读”本地文件的用户。虽然生成的内容也具备一定可读性,但其核心优势在于为机器