tps_stn_pytorch
tps_stn_pytorch 是一个基于 PyTorch 实现的开源项目,专注于将空间变换网络(STN)与薄板样条(TPS)技术相结合。它主要解决图像识别中因视角倾斜、扭曲或形变导致准确率下降的难题。通过自动对输入图像进行智能校正和“拉直”,该工具能让后续的识别模型(如分类器或 OCR 系统)更轻松地处理数据,且整个过程无需额外的人工标注监督,支持端到端的训练。
其核心技术亮点在于引入了 TPS 变换,相比传统的仿射变换,它能利用控制点网格对图像进行任意方式的非线性 warp(弯曲变形),特别适合处理如弯曲文本行等复杂场景。项目中提供了完整的 MNIST 旋转矫正演示及可视化脚本,用户可灵活调整模型类型、旋转角度及网格密度来观察效果。
这款工具非常适合深度学习研究人员、计算机视觉开发者以及需要构建高鲁棒性识别系统的工程师使用。如果你正在探索如何让 AI 模型在图像发生严重形变时依然保持高精度,或者希望深入研究 STN 架构在 OCR 等领域的应用,tps_stn_pytorch 提供了一个清晰、可复现且易于集成的代码基准。
使用场景
某智慧物流团队正在开发一套自动快递单识别系统,需处理运输过程中因折叠、挤压导致严重扭曲变形的运单图像。
没有 tps_stn_pytorch 时
- 识别率低下:传统 CNN 模型无法理解非线性形变,面对弯曲或局部拉伸的文字图像,OCR 识别准确率骤降至 60% 以下。
- 数据清洗成本高:为了训练鲁棒模型,团队必须人工收集并标注海量不同扭曲程度的样本,耗时耗力且难以覆盖所有变形情况。
- 预处理流程复杂:需要编写复杂的传统图像处理算法(如手动检测角点、透视变换)来尝试校正图像,但这些方法对不规则扭曲往往失效。
- 模型泛化能力差:一旦遇到训练集中未出现的新型扭曲模式,整个识别流水线就会崩溃,需重新调整参数甚至重构代码。
使用 tps_stn_pytorch 后
- 自动几何校正:利用 TPS 薄板样条变换,tps_stn_pytorch 能端到端地自动学习并将任意扭曲的运单图像“拉直”还原,无需人工干预。
- 零额外监督成本:该模块可直接嵌入现有 ResNet 等架构中,通过反向传播自动优化,无需额外的形变标注数据即可提升模型鲁棒性。
- 简化开发链路:省去了繁琐的传统图像校正预处理步骤,开发者只需关注核心识别逻辑,大幅缩短了从原型到部署的周期。
- 适应极端形变:即使面对折叠造成的剧烈非线性形变,控制点网格也能灵活调整,确保输入给 OCR 引擎的始终是规整图像,识别率稳定在 95% 以上。
tps_stn_pytorch 的核心价值在于让深度学习模型具备了“自我矫正”视觉畸变的能力,以纯数据驱动的方式解决了传统算法难以处理的复杂空间变换难题。
运行环境要求
未说明
未说明

快速开始
tps_stn_pytorch
基于薄板样条(TPS)的空间变换网络(STN)的 PyTorch 实现。
简介
空间变换网络(STN)是由 DeepMind 提出的一种强大的神经网络架构 [1]。STN 通过在输入图像被送入常规分类网络之前自动对其进行校正,从而实现真正的空间不变性。STN 最令人惊叹之处在于它是端到端可微分的,并且可以直接插入现有的网络架构中(如 AlexNet、ResNet 等),无需任何额外的监督信号。
原始 STN 论文 [1] 对三种特定的变换形式进行了实验:仿射变换、透视变换和 薄板样条变换(TPS)。其中我认为 TPS 是最强大的变换方式,因为它可以以任意方式扭曲图像。如下所示,我可以将我的头像进行扭曲:
变为
TPS-STN 已被用于 OCR 应用程序 [2]。在这篇论文中,TPS-STN 用于在将扭曲的文本图像送入常规 OCR 文本识别模型之前,自动对其进行校正:
依赖项
- Python3
- PyTorch
- Torchvision
- Numpy
- Matplotlib
- Pillow / PIL
- imageio
我使用 imageio 来创建 GIF 可视化效果。只需运行 pip install imageio 即可安装。
运行
python mnist_train.py --model unbounded_stn --angle 90 --grid_size 4
python mnist_visualize.py --model unbounded_stn --angle 90 --grid_size 4
python mnist_make_gif.py --model unbounded_stn --angle 90 --grid_size 4
随后,PNG 和 GIF 结果将分别保存在 ./image/unbounded_stn_angle60_grid4/ 和 ./gif/unbounded_stn_angle60_grid4/ 目录中。
您可以尝试其他模型架构、MNIST 数据集随机旋转角度以及 TPS 网格大小的不同组合。详细信息如下。
参数
共有三个可控参数:--model、--angle 和 --grid_size。
--model: 字符串,必填
- 使用
no_stn时,STN 模块将被丢弃,仅保留单一的 CNN 分类器。 - 使用
bounded_stn时,定位网络的输出会被F.tanh压缩到 [-1, 1] 范围内,正如 [2] 中所做的那样。 - 使用
unbounded_stn时,定位网络的输出不会被压缩。
--angle: 整数,默认为 60
- MNIST 数据集中的样本将被随机旋转
[-angle, angle]范围内的角度。
--grid_size: 整数,默认为 4
- 使用
(grid_size x grid_size)个控制点来定义薄板样条变换。
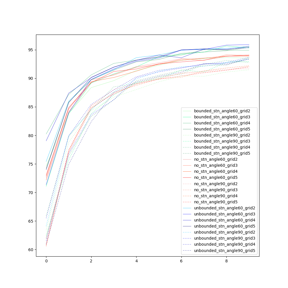
测试准确率曲线
可视化 TPS-STN
当 angle = 90 时,结果通常较差:
当使用 bounded_stn 且 grid_size <= 3 时,结果也不理想:
但若 grid_size >= 4,则效果较好:
而使用 unbounded_stn 时,结果则较为理想:
当然,在每种组合下都可能存在表现不佳的情况。您可以通过 百度网盘 下载我所有的 GIF 文件(文件大小为 2GB)。
参考文献
[1] Spatial Transformer Networks
[2] Robust Scene Text Recognition with Automatic Rectification
常见问题
相似工具推荐
openclaw
OpenClaw 是一款专为个人打造的本地化 AI 助手,旨在让你在自己的设备上拥有完全可控的智能伙伴。它打破了传统 AI 助手局限于特定网页或应用的束缚,能够直接接入你日常使用的各类通讯渠道,包括微信、WhatsApp、Telegram、Discord、iMessage 等数十种平台。无论你在哪个聊天软件中发送消息,OpenClaw 都能即时响应,甚至支持在 macOS、iOS 和 Android 设备上进行语音交互,并提供实时的画布渲染功能供你操控。 这款工具主要解决了用户对数据隐私、响应速度以及“始终在线”体验的需求。通过将 AI 部署在本地,用户无需依赖云端服务即可享受快速、私密的智能辅助,真正实现了“你的数据,你做主”。其独特的技术亮点在于强大的网关架构,将控制平面与核心助手分离,确保跨平台通信的流畅性与扩展性。 OpenClaw 非常适合希望构建个性化工作流的技术爱好者、开发者,以及注重隐私保护且不愿被单一生态绑定的普通用户。只要具备基础的终端操作能力(支持 macOS、Linux 及 Windows WSL2),即可通过简单的命令行引导完成部署。如果你渴望拥有一个懂你
stable-diffusion-webui
stable-diffusion-webui 是一个基于 Gradio 构建的网页版操作界面,旨在让用户能够轻松地在本地运行和使用强大的 Stable Diffusion 图像生成模型。它解决了原始模型依赖命令行、操作门槛高且功能分散的痛点,将复杂的 AI 绘图流程整合进一个直观易用的图形化平台。 无论是希望快速上手的普通创作者、需要精细控制画面细节的设计师,还是想要深入探索模型潜力的开发者与研究人员,都能从中获益。其核心亮点在于极高的功能丰富度:不仅支持文生图、图生图、局部重绘(Inpainting)和外绘(Outpainting)等基础模式,还独创了注意力机制调整、提示词矩阵、负向提示词以及“高清修复”等高级功能。此外,它内置了 GFPGAN 和 CodeFormer 等人脸修复工具,支持多种神经网络放大算法,并允许用户通过插件系统无限扩展能力。即使是显存有限的设备,stable-diffusion-webui 也提供了相应的优化选项,让高质量的 AI 艺术创作变得触手可及。
everything-claude-code
everything-claude-code 是一套专为 AI 编程助手(如 Claude Code、Codex、Cursor 等)打造的高性能优化系统。它不仅仅是一组配置文件,而是一个经过长期实战打磨的完整框架,旨在解决 AI 代理在实际开发中面临的效率低下、记忆丢失、安全隐患及缺乏持续学习能力等核心痛点。 通过引入技能模块化、直觉增强、记忆持久化机制以及内置的安全扫描功能,everything-claude-code 能显著提升 AI 在复杂任务中的表现,帮助开发者构建更稳定、更智能的生产级 AI 代理。其独特的“研究优先”开发理念和针对 Token 消耗的优化策略,使得模型响应更快、成本更低,同时有效防御潜在的攻击向量。 这套工具特别适合软件开发者、AI 研究人员以及希望深度定制 AI 工作流的技术团队使用。无论您是在构建大型代码库,还是需要 AI 协助进行安全审计与自动化测试,everything-claude-code 都能提供强大的底层支持。作为一个曾荣获 Anthropic 黑客大奖的开源项目,它融合了多语言支持与丰富的实战钩子(hooks),让 AI 真正成长为懂上
ComfyUI
ComfyUI 是一款功能强大且高度模块化的视觉 AI 引擎,专为设计和执行复杂的 Stable Diffusion 图像生成流程而打造。它摒弃了传统的代码编写模式,采用直观的节点式流程图界面,让用户通过连接不同的功能模块即可构建个性化的生成管线。 这一设计巧妙解决了高级 AI 绘图工作流配置复杂、灵活性不足的痛点。用户无需具备编程背景,也能自由组合模型、调整参数并实时预览效果,轻松实现从基础文生图到多步骤高清修复等各类复杂任务。ComfyUI 拥有极佳的兼容性,不仅支持 Windows、macOS 和 Linux 全平台,还广泛适配 NVIDIA、AMD、Intel 及苹果 Silicon 等多种硬件架构,并率先支持 SDXL、Flux、SD3 等前沿模型。 无论是希望深入探索算法潜力的研究人员和开发者,还是追求极致创作自由度的设计师与资深 AI 绘画爱好者,ComfyUI 都能提供强大的支持。其独特的模块化架构允许社区不断扩展新功能,使其成为当前最灵活、生态最丰富的开源扩散模型工具之一,帮助用户将创意高效转化为现实。
gemini-cli
gemini-cli 是一款由谷歌推出的开源 AI 命令行工具,它将强大的 Gemini 大模型能力直接集成到用户的终端环境中。对于习惯在命令行工作的开发者而言,它提供了一条从输入提示词到获取模型响应的最短路径,无需切换窗口即可享受智能辅助。 这款工具主要解决了开发过程中频繁上下文切换的痛点,让用户能在熟悉的终端界面内直接完成代码理解、生成、调试以及自动化运维任务。无论是查询大型代码库、根据草图生成应用,还是执行复杂的 Git 操作,gemini-cli 都能通过自然语言指令高效处理。 它特别适合广大软件工程师、DevOps 人员及技术研究人员使用。其核心亮点包括支持高达 100 万 token 的超长上下文窗口,具备出色的逻辑推理能力;内置 Google 搜索、文件操作及 Shell 命令执行等实用工具;更独特的是,它支持 MCP(模型上下文协议),允许用户灵活扩展自定义集成,连接如图像生成等外部能力。此外,个人谷歌账号即可享受免费的额度支持,且项目基于 Apache 2.0 协议完全开源,是提升终端工作效率的理想助手。
markitdown
MarkItDown 是一款由微软 AutoGen 团队打造的轻量级 Python 工具,专为将各类文件高效转换为 Markdown 格式而设计。它支持 PDF、Word、Excel、PPT、图片(含 OCR)、音频(含语音转录)、HTML 乃至 YouTube 链接等多种格式的解析,能够精准提取文档中的标题、列表、表格和链接等关键结构信息。 在人工智能应用日益普及的今天,大语言模型(LLM)虽擅长处理文本,却难以直接读取复杂的二进制办公文档。MarkItDown 恰好解决了这一痛点,它将非结构化或半结构化的文件转化为模型“原生理解”且 Token 效率极高的 Markdown 格式,成为连接本地文件与 AI 分析 pipeline 的理想桥梁。此外,它还提供了 MCP(模型上下文协议)服务器,可无缝集成到 Claude Desktop 等 LLM 应用中。 这款工具特别适合开发者、数据科学家及 AI 研究人员使用,尤其是那些需要构建文档检索增强生成(RAG)系统、进行批量文本分析或希望让 AI 助手直接“阅读”本地文件的用户。虽然生成的内容也具备一定可读性,但其核心优势在于为机器