Machine-Learning-Notes
Machine-Learning-Notes 是一份针对周志华教授经典教材《机器学习》(俗称“西瓜书”)的全套手写推导笔记。这份资源由计算机视觉联盟的王博 Kings 与 Sophia 共同整理,旨在帮助学习者攻克机器学习中复杂的数学公式与算法原理。
许多初学者在阅读原著时,往往难以理解公式背后的具体推导过程,导致“看懂了文字却推不出公式”。Machine-Learning-Notes 通过踏踏实实的手写演算,将书中十六章核心内容(涵盖线性模型、决策树、神经网络、支持向量机、强化学习等)的每一个关键步骤拆解得清晰明了,有效填补了理论描述与数学实现之间的鸿沟。
该资源特别适合高校学生、AI 研究人员以及希望夯实基础的开发者使用。无论是准备相关考试、撰写学术论文,还是深入钻研算法底层逻辑,这份笔记都能提供极大的辅助。其独特亮点在于全手工推导的细致程度,整套笔记共计 214 页 A4 纸,内容详实且可直接打印,宛如一位私人导师在纸面上逐步演示解题思路。目前项目已更新完结全部十六章,是系统掌握机器学习数学基础的高质量开源学习资料。
使用场景
一名计算机专业的研究生正在备战机器学习面试,急需深入理解周志华《机器学习》(西瓜书)中复杂的数学推导,但面对原著中跳跃的公式步骤感到无从下手。
没有 Machine-Learning-Notes 时
- 推导断层难衔接:阅读原版教材时,常因省略中间计算步骤而卡壳,不得不花费数小时在草稿纸上反复验算才能理清逻辑。
- 复习效率低下:手写的笔记杂乱无章且难以检索,临近面试前无法快速回顾如“支持向量机对偶问题”或“神经网络反向传播”等核心考点。
- 知识体系碎片化:缺乏系统性的整理,导致对各章节算法之间的联系(如集成学习与决策树的关系)理解片面,难以形成完整的知识图谱。
- 打印分享不便:电子资料格式混乱,无法直接打印成册进行离线深度研读或与实验室同门高效交流。
使用 Machine-Learning-Notes 后
- 公式推导可视化:直接查阅涵盖 16 章内容的 214 页手推笔记,每一步矩阵运算和微积分推导都清晰呈现,瞬间打通理解堵点。
- 结构化高效复盘:利用按章节(从绪论到强化学习)精心整理的 A4 纸版笔记,可快速定位薄弱知识点,将复习时间缩短一半以上。
- 构建完整知识网:通过连贯的手推过程,深刻领悟算法背后的数学本质,能够流畅地阐述不同模型间的演进逻辑与异同。
- 即打即用的学习资料:下载高清 PDF 直接打印装订,随时随地进行沉浸式学习,并轻松分享给团队成员共同提升。
Machine-Learning-Notes 将晦涩的理论转化为可视化的推导路径,让学习者从“死记硬背公式”转变为“真正掌握数学直觉”。
运行环境要求
未说明
未说明

快速开始
机器学习笔记(图片加载较慢,请耐心等待,仅显示部分内容)
如果页面刷新不出来,可以点击 神经网络 查看笔记大概是什么样子的
周志华《机器学习》手推笔记(踏踏实实把公式学习推导一遍)
由【计算机视觉联盟】王博Kings、Sophia整理
手推笔记共十六章,214页,A4纸大小,可直接打印!!
最后更新:2021年3月13日 已更新至第十六章
公众号【计算机视觉联盟】回复【西瓜书手推笔记】即可获得百度云pdf下载链接
后续请大家继续关注另一个重磅笔记: 深度学习手推笔记
目录
- 第一章绪论
- 第二章模型评估与选择
- 第三章线性模型
- 第四章决策树
- 第五章神经网络
- 第六章支持向量机
- 第七章贝叶斯分类器
- 第八章集成学习
- 第九章聚类
- 第十章降维与度量学习
- 第十一章特征选择与稀疏学习
- 第十二章计算学习理论
- 第十三章半监督学习
- 第十四章概率图模型
- 第十五章规则学习
- 第十六章强化学习
手推笔记作者简介--王博Kings
微信号(Kingsplusa)备注:单位/学校+研究方向
985高校人工智能博士,CSDN博客专家,华为云享专家
已连载系列《机器学习》西瓜书手推笔记
已完结待更笔记:《深度学习-花书手推笔记》、《无人驾驶手推笔记》、《SLAM 十四讲》
| 下载地址 | 博士私人微信 |
|---|---|
![]() |
![]() |
| 【计算机视觉联盟】回复【西瓜书手推笔记】即可获得百度云pdf下载链接 | 985高校人工智能博士,CSDN博客专家 |
第一章 绪论

第二章 模型评估与选择
| 1 | 2 | 3 | 4 |
|---|---|---|---|
![]() |
![]() |
![]() |
![]() |
![]() |
![]() |
![]() |
![]() |
![]() |
![]() |
![]() |
![]() |
![]() |
--by 王博Kings |
第三章 线性模型
| 1 | 2 | 3 | 4 |
|---|---|---|---|
![]() |
![]() |
![]() |
![]() |
| !!(./ch3/%%E6%89%Ab%E6%8F%8F0018_%%E5%89%%E6%9C%AC.jpg) | !!(./ch3/%%E6%89%Ab%E6%8F%8F0019_%%E5%89%%E6%9C%AC.jpg) | !!(./ch3/%%E6%89%Ab%E6%8F%8F0020_%%E5%89%%E6%9C%AC.jpg) | !!(./ch3/%%E6%89%Ab%E6%8F%8F0021_%%E5%89%%E6%9C%AC.jpg) |
| !!(./ch3/%%E6%89%Ab%E6%8F%8F0022_%%E5%89%%E6%9C%AC.jpg) | !!(./ch3/%%E6%89%Ab%E6%8F%8F0023_%%E5%89%%E6%9C%AC.jpg) | --by 王博Kings |
第四章 决策树
| 1 | 2 | 3 | 4 |
|---|---|---|---|
| !!(./ch4/%%E6%89%Ab%E6%8F%8F0024_%%E5%89%%E6%9C%AC.jpg) | !!(./ch4/%%E6%89%Ab%E6%8F%8F0025_%%E5%89%%E6%9C%AC.jpg) | !!(./ch4/%%E6%89%Ab%E6%8F%8F0026_%%E5%89%%E6%9C%AC.jpg) | !!(./ch4/%%E6%89%Ab%E6%8F%8F0027_%%E5%89%%E6%9C%AC.jpg) |
| !!(./ch4/%%E6%89%Ab%E6%8F%8F0028_%%E5%89%%E6%9C%AC.jpg) | !!(./ch4/%%E6%89%Ab%E6%8F%8F0029_%%E5%89%%E6%9C%AC.jpg) | !!(./ch4/%%E6%89%Ab%E6%8F%8F0030_%%E5%89%%E6%9C%Ac.jpg) | !!(./ch4/%%E6%89%Ab%E6%8F%8F0031_%%E5%89%%E6%9C%Ac.jpg) |
| !!(./ch4/%%E6%89%Ab%E6%8F%8F0032_%%E5%89%%E6%9C%Ac.jpg) | !!(./ch4/%%E6%89%Ab%E6%8F%8F0033_%%E5%89%%E6%9C%Ac.jpg) | !!(./ch4/%%E6%89%Ab%E6%8F%8F0034_%%E5%89%%E6%9C%Ac.jpg) | --by 王博Kings |
第五章 神经网络
| 1 | 2 | 3 | 4 |
|---|---|---|---|
![]() |
![]() |
![]() |
![]() |
![]() |
![]() |
![]() |
![]() |
![]() |
![]() |
![]() |
--by 王博Kings |
第六章 支持向量机
| 1 | 2 | 3 | 4 |
|---|---|---|---|
![]() |
![]() |
![]() |
![]() |
![]() |
![]() |
![]() |
![]() |
![]() |
![]() |
![]() |
![]() |
![]() |
![]() |
![]() |
![]() |
第七章 贝叶斯分类器
| 1 | 2 | 3 | 4 |
|---|---|---|---|
![]() |
![]() |
![]() |
![]() |
![]() |
![]() |
![]() |
![]() |
![]() |
![]() |
![]() |
![]() |
![]() |
--by 王博Kings |
第八章 集成学习
| 1 | 2 | 3 | 4 |
|---|---|---|---|
![]() |
![]() |
![]() |
![]() |
![]() |
![]() |
![]() |
![]() |
![]() |
![]() |
![]() |
![]() |
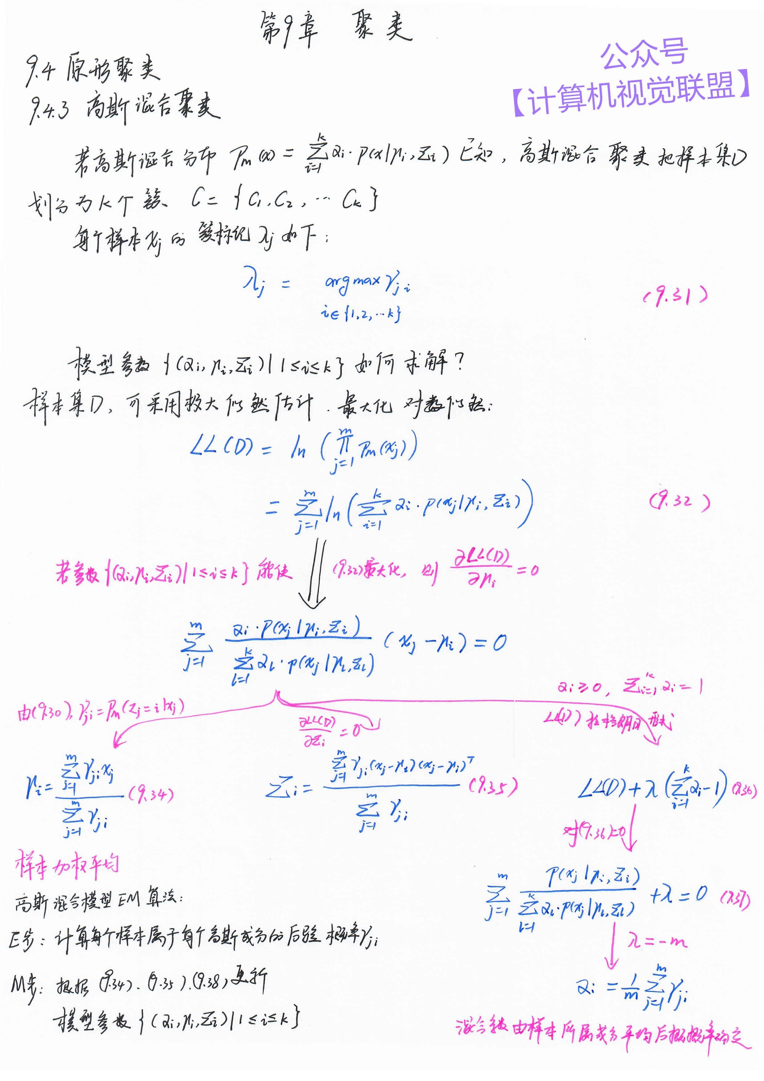
第九章 聚类
| 1 | 2 | 3 | 4 |
|---|---|---|---|
![]() |
![]() |
![]() |
![]() |
![]() |
![]() |
![]() |
![]() |
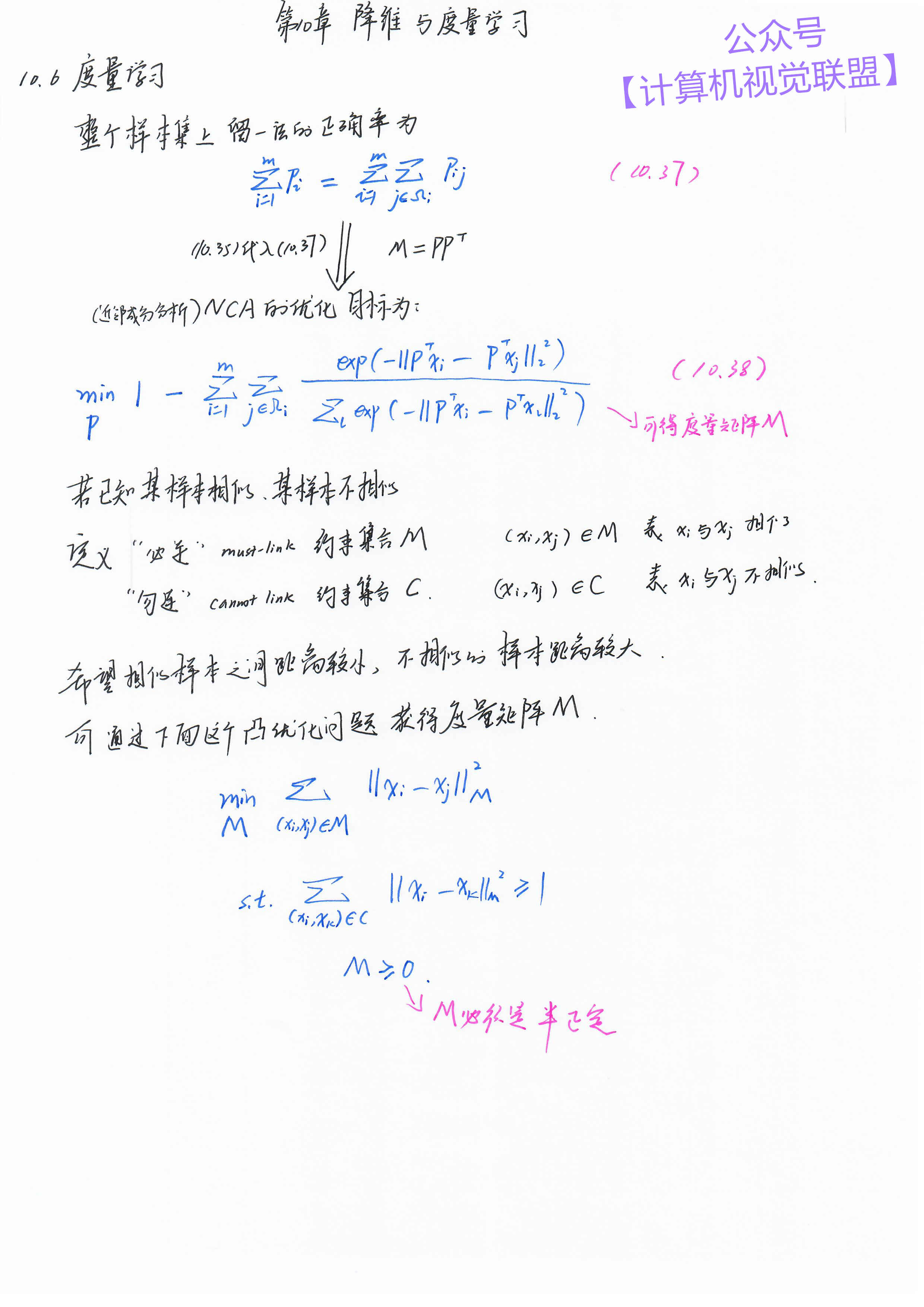
第十章 降维与度量学习
| 1 | 2 | 3 | 4 |
|---|---|---|---|
![]() |
![]() |
![]() |
![]() |
![]() |
![]() |
![]() |
![]() |
![]() |
![]() |
--by 王博Kings |
相似工具推荐
openclaw
OpenClaw 是一款专为个人打造的本地化 AI 助手,旨在让你在自己的设备上拥有完全可控的智能伙伴。它打破了传统 AI 助手局限于特定网页或应用的束缚,能够直接接入你日常使用的各类通讯渠道,包括微信、WhatsApp、Telegram、Discord、iMessage 等数十种平台。无论你在哪个聊天软件中发送消息,OpenClaw 都能即时响应,甚至支持在 macOS、iOS 和 Android 设备上进行语音交互,并提供实时的画布渲染功能供你操控。 这款工具主要解决了用户对数据隐私、响应速度以及“始终在线”体验的需求。通过将 AI 部署在本地,用户无需依赖云端服务即可享受快速、私密的智能辅助,真正实现了“你的数据,你做主”。其独特的技术亮点在于强大的网关架构,将控制平面与核心助手分离,确保跨平台通信的流畅性与扩展性。 OpenClaw 非常适合希望构建个性化工作流的技术爱好者、开发者,以及注重隐私保护且不愿被单一生态绑定的普通用户。只要具备基础的终端操作能力(支持 macOS、Linux 及 Windows WSL2),即可通过简单的命令行引导完成部署。如果你渴望拥有一个懂你
stable-diffusion-webui
stable-diffusion-webui 是一个基于 Gradio 构建的网页版操作界面,旨在让用户能够轻松地在本地运行和使用强大的 Stable Diffusion 图像生成模型。它解决了原始模型依赖命令行、操作门槛高且功能分散的痛点,将复杂的 AI 绘图流程整合进一个直观易用的图形化平台。 无论是希望快速上手的普通创作者、需要精细控制画面细节的设计师,还是想要深入探索模型潜力的开发者与研究人员,都能从中获益。其核心亮点在于极高的功能丰富度:不仅支持文生图、图生图、局部重绘(Inpainting)和外绘(Outpainting)等基础模式,还独创了注意力机制调整、提示词矩阵、负向提示词以及“高清修复”等高级功能。此外,它内置了 GFPGAN 和 CodeFormer 等人脸修复工具,支持多种神经网络放大算法,并允许用户通过插件系统无限扩展能力。即使是显存有限的设备,stable-diffusion-webui 也提供了相应的优化选项,让高质量的 AI 艺术创作变得触手可及。
everything-claude-code
everything-claude-code 是一套专为 AI 编程助手(如 Claude Code、Codex、Cursor 等)打造的高性能优化系统。它不仅仅是一组配置文件,而是一个经过长期实战打磨的完整框架,旨在解决 AI 代理在实际开发中面临的效率低下、记忆丢失、安全隐患及缺乏持续学习能力等核心痛点。 通过引入技能模块化、直觉增强、记忆持久化机制以及内置的安全扫描功能,everything-claude-code 能显著提升 AI 在复杂任务中的表现,帮助开发者构建更稳定、更智能的生产级 AI 代理。其独特的“研究优先”开发理念和针对 Token 消耗的优化策略,使得模型响应更快、成本更低,同时有效防御潜在的攻击向量。 这套工具特别适合软件开发者、AI 研究人员以及希望深度定制 AI 工作流的技术团队使用。无论您是在构建大型代码库,还是需要 AI 协助进行安全审计与自动化测试,everything-claude-code 都能提供强大的底层支持。作为一个曾荣获 Anthropic 黑客大奖的开源项目,它融合了多语言支持与丰富的实战钩子(hooks),让 AI 真正成长为懂上
ComfyUI
ComfyUI 是一款功能强大且高度模块化的视觉 AI 引擎,专为设计和执行复杂的 Stable Diffusion 图像生成流程而打造。它摒弃了传统的代码编写模式,采用直观的节点式流程图界面,让用户通过连接不同的功能模块即可构建个性化的生成管线。 这一设计巧妙解决了高级 AI 绘图工作流配置复杂、灵活性不足的痛点。用户无需具备编程背景,也能自由组合模型、调整参数并实时预览效果,轻松实现从基础文生图到多步骤高清修复等各类复杂任务。ComfyUI 拥有极佳的兼容性,不仅支持 Windows、macOS 和 Linux 全平台,还广泛适配 NVIDIA、AMD、Intel 及苹果 Silicon 等多种硬件架构,并率先支持 SDXL、Flux、SD3 等前沿模型。 无论是希望深入探索算法潜力的研究人员和开发者,还是追求极致创作自由度的设计师与资深 AI 绘画爱好者,ComfyUI 都能提供强大的支持。其独特的模块化架构允许社区不断扩展新功能,使其成为当前最灵活、生态最丰富的开源扩散模型工具之一,帮助用户将创意高效转化为现实。
gemini-cli
gemini-cli 是一款由谷歌推出的开源 AI 命令行工具,它将强大的 Gemini 大模型能力直接集成到用户的终端环境中。对于习惯在命令行工作的开发者而言,它提供了一条从输入提示词到获取模型响应的最短路径,无需切换窗口即可享受智能辅助。 这款工具主要解决了开发过程中频繁上下文切换的痛点,让用户能在熟悉的终端界面内直接完成代码理解、生成、调试以及自动化运维任务。无论是查询大型代码库、根据草图生成应用,还是执行复杂的 Git 操作,gemini-cli 都能通过自然语言指令高效处理。 它特别适合广大软件工程师、DevOps 人员及技术研究人员使用。其核心亮点包括支持高达 100 万 token 的超长上下文窗口,具备出色的逻辑推理能力;内置 Google 搜索、文件操作及 Shell 命令执行等实用工具;更独特的是,它支持 MCP(模型上下文协议),允许用户灵活扩展自定义集成,连接如图像生成等外部能力。此外,个人谷歌账号即可享受免费的额度支持,且项目基于 Apache 2.0 协议完全开源,是提升终端工作效率的理想助手。
markitdown
MarkItDown 是一款由微软 AutoGen 团队打造的轻量级 Python 工具,专为将各类文件高效转换为 Markdown 格式而设计。它支持 PDF、Word、Excel、PPT、图片(含 OCR)、音频(含语音转录)、HTML 乃至 YouTube 链接等多种格式的解析,能够精准提取文档中的标题、列表、表格和链接等关键结构信息。 在人工智能应用日益普及的今天,大语言模型(LLM)虽擅长处理文本,却难以直接读取复杂的二进制办公文档。MarkItDown 恰好解决了这一痛点,它将非结构化或半结构化的文件转化为模型“原生理解”且 Token 效率极高的 Markdown 格式,成为连接本地文件与 AI 分析 pipeline 的理想桥梁。此外,它还提供了 MCP(模型上下文协议)服务器,可无缝集成到 Claude Desktop 等 LLM 应用中。 这款工具特别适合开发者、数据科学家及 AI 研究人员使用,尤其是那些需要构建文档检索增强生成(RAG)系统、进行批量文本分析或希望让 AI 助手直接“阅读”本地文件的用户。虽然生成的内容也具备一定可读性,但其核心优势在于为机器
























































































