Res2Net-PretrainedModels
Res2Net-PretrainedModels 提供了基于 PyTorch 框架的 Res2Net 预训练模型,源自发表于顶级期刊 TPAMI 的论文"Res2Net:一种新的多尺度骨干架构”。它主要解决了传统卷积神经网络在单一残差块内难以有效捕捉多尺度特征的问题。通过引入层级化的残差连接结构,Res2Net 能够在更细粒度上表示多尺度信息,显著扩大网络层的感受野,从而在图像分类、目标检测和语义分割等任务中实现比 ResNet、HRNet 等主流模型更高的精度,且计算成本可控。
该资源特别适合计算机视觉领域的研究人员和开发者使用。无论是需要快速复现论文结果、进行算法对比,还是希望将高性能骨干网络集成到 MMDetection、Detectron2 等框架中以提升下游任务表现,都能从中获益。其独特的技术亮点在于创新的"Res2Net 模块”,无需复杂的技巧或额外的计算开销,即可在 ImageNet 数据集上获得约 2% 的顶 -1 准确率提升,并展现出优异的迁移学习能力。项目不仅开源了多种不同参数配置的预训练权重,还提供了便捷的加载代码和详细的文档支持,帮助用户轻松上手并应用于实际的深度学习项目中。
使用场景
某医疗影像初创团队正在开发一套基于深度学习的早期肺结节检测系统,需要在有限的标注数据下快速提升模型对微小病灶的识别精度。
没有 Res2Net-PretrainedModels 时
- 多尺度特征提取能力弱:传统 ResNet 骨干网络难以在同一层级有效捕捉肺结节从微小到巨大的跨度变化,导致小病灶漏检率高。
- 训练收敛慢且成本高:从头训练深层网络需要海量算力与时间,团队在有限 GPU 资源下难以进行充分的超参数调优。
- 迁移学习效果瓶颈:直接使用普通 ImageNet 预训练模型,在医学场景下的特征泛化能力不足,top-1 准确率提升遭遇天花板。
- 感受野受限:现有架构的单一路径设计限制了网络对上下文信息的感知,难以区分结节与复杂的肺部背景干扰。
使用 Res2Net-PretrainedModels 后
- 细粒度多尺度表征增强:利用 Res2Net 独特的分层残差连接结构,模型能在单个模块内并行处理多尺度特征,显著提升了微小结节的检出率。
- 高效启动与收敛:直接加载在 ImageNet 上达到 20.80% 低错误率的预训练权重(如 Res2Net-50-26w-8s),大幅缩短训练周期,节省数天算力成本。
- 卓越的迁移性能:得益于预训练模型更强的特征表达能力,下游检测任务在少量数据微调后即获得约 2% 的性能增益,超越原有 HRNet 基线。
- 感受野灵活扩展:新的骨干架构增加了每一层的有效感受野范围,使模型能更精准地结合局部纹理与全局语境,降低误报率。
Res2Net-PretrainedModels 通过引入创新的内部多尺度机制,以极低的迁移成本解决了医疗影像中微小目标检测难、训练效率低的核心痛点。
运行环境要求
- 未说明
未说明(基于 PyTorch,通常建议配备支持 CUDA 的 NVIDIA GPU 以进行训练或高效推理,具体显存需求取决于所选模型大小,从约 4.2 MACs 到 15.7 MACs 不等)
未说明

快速开始
Res2Net
论文《Res2Net:一种新的多尺度骨干网络架构》的官方 PyTorch 实现(论文链接:https://arxiv.org/pdf/1904.01169.pdf)
我们的论文已被 IEEE 模式分析与机器智能汇刊 (TPAMI) 接收。
更新
- 2020年10月20日:PaddlePaddle 版本的 Res2Net 在 ImageNet 数据集上取得了 85.13% 的 Top-1 准确率:PaddlePaddle Res2Net。
- 2020年8月21日:基于 Res2Net 的目标检测和分割在线演示发布:http://mc.nankai.edu.cn/res2net-det
- 2020年7月29日:Res2Net 在 ImageNet 上的训练代码已公开:https://github.com/Res2Net/Res2Net-ImageNet-Training(仅限非商业用途)。
- 2020年6月1日:Res2Net 已被纳入新的深度学习框架 Jittor 的官方模型库:https://github.com/Jittor/jittor。
- 2020年5月21日:Res2Net 现已成为 MMDetection v2 框架中的基础骨干网络之一:https://github.com/open-mmlab/mmdetection。使用 MMDetection v2 结合 Res2Net 可以在降低计算成本的同时获得更好的性能。
- 2020年5月11日:基于 detectron2 的全景分割任务中,Res2Net 在不使用任何技巧的情况下实现了约 2% 的性能提升。相关代码已公开:https://github.com/Res2Net/Res2Net-detectron2。
- 2020年2月24日:我们的 Res2Net_v1b 在 mmdetection 上相比现有骨干网络模型取得了显著的性能提升。 相关代码已公开:https://github.com/Res2Net/mmdetection。我们方法与此前表现最佳的 HRNet 之间的详细对比可参见:https://github.com/Res2Net/mmdetection/tree/master/configs/res2net。
- 2020年2月21日:Res2Net_v1b 的预训练模型已在 ImageNet Top-1 准确率上比原始版本提升了超过 2%,并且在迁移至目标检测、语义分割等其他任务时表现出更优异的性能。
简介
我们提出了一种新颖的 CNN 基础模块——Res2Net,通过在一个残差块内部构建层次化的类似残差的连接来实现。Res2Net 能够以细粒度表示多尺度特征,并扩大每一层网络的感受野范围。该模块可以无缝集成到当前最先进的骨干网络模型中,例如 ResNet、ResNeXt、BigLittleNet 和 DLA。我们在这些模型上对 Res2Net 进行了全面评估,结果表明其性能始终优于基线模型。
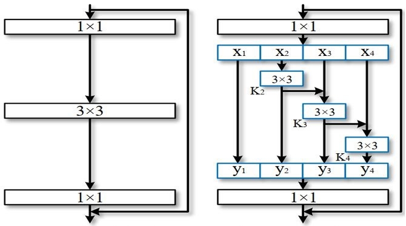
Res2Net 模块
使用方法
需求
PyTorch>=0.4.1
示例
git clone https://github.com/gasvn/Res2Net.git
from res2net import res2net50
model = res2net50(pretrained=True)
输入图像应按以下方式归一化:
normalize = transforms.Normalize(mean=[0.485, 0.456, 0.406],
std=[0.229, 0.224, 0.225])
(默认情况下,模型会自动下载。如果默认下载链接不可用,请参考“预训练模型”部分列出的下载链接。)
预训练模型
| 模型 | 参数量 | MACCs | Top-1 错误率 | Top-5 错误率 | 链接 |
|---|---|---|---|---|---|
| Res2Net-50-48w-2s | 25.29M | 4.2 | 22.68 | 6.47 | OneDrive |
| Res2Net-50-26w-4s | 25.70M | 4.2 | 22.01 | 6.15 | OneDrive |
| Res2Net-50-14w-8s | 25.06M | 4.2 | 21.86 | 6.14 | OneDrive |
| Res2Net-50-26w-6s | 37.05M | 6.3 | 21.42 | 5.87 | OneDrive |
| Res2Net-50-26w-8s | 48.40M | 8.3 | 20.80 | 5.63 | OneDrive |
| Res2Net-101-26w-4s | 45.21M | 8.1 | 20.81 | 5.57 | OneDrive |
| Res2NeXt-50 | 24.67M | 4.2 | 21.76 | 6.09 | OneDrive |
| Res2Net-DLA-60 | 21.15M | 4.2 | 21.53 | 5.80 | OneDrive |
| Res2NeXt-DLA-60 | 17.33M | 3.6 | 21.55 | 5.86 | OneDrive |
| Res2Net-v1b-50 | 25.72M | 4.5 | 19.73 | 4.96 | 链接 |
| Res2Net-v1b-101 | 45.23M | 8.3 | 18.77 | 4.64 | 链接 |
| Res2Net-v1d-200-SSLD | 76.21M | 15.7 | 14.87 | 2.58 | PaddlePaddle链接 |
新闻
- Res2Net_v1b 现已可用。
- 您可以通过设置
pretrained = True来加载预训练模型。
百度网盘下载链接现已开放。(百度网盘,提取码:vbix)
应用
分类、实例分割、目标检测、语义分割、显著性目标检测、类激活图、CT 扫描中的肿瘤分割等其他应用,请访问 https://mmcheng.net/res2net/ 查看。
引用
如果您在研究中使用了本工作或代码,请引用:
@article{gao2019res2net,
title={Res2Net: A New Multi-scale Backbone Architecture},
author={Gao, Shang-Hua and Cheng, Ming-Ming and Zhao, Kai and Zhang, Xin-Yu and Yang, Ming-Hsuan and Torr, Philip},
journal={IEEE TPAMI},
year={2021},
doi={10.1109/TPAMI.2019.2938758},
}
联系方式
如有任何问题,请随时通过电子邮件联系我:shgao(at)live.com
许可证
代码根据知识共享署名-非商业性使用-相同方式共享 4.0 国际许可协议发布,仅限非商业用途。任何商业用途均需事先获得正式授权。
常见问题
相似工具推荐
openclaw
OpenClaw 是一款专为个人打造的本地化 AI 助手,旨在让你在自己的设备上拥有完全可控的智能伙伴。它打破了传统 AI 助手局限于特定网页或应用的束缚,能够直接接入你日常使用的各类通讯渠道,包括微信、WhatsApp、Telegram、Discord、iMessage 等数十种平台。无论你在哪个聊天软件中发送消息,OpenClaw 都能即时响应,甚至支持在 macOS、iOS 和 Android 设备上进行语音交互,并提供实时的画布渲染功能供你操控。 这款工具主要解决了用户对数据隐私、响应速度以及“始终在线”体验的需求。通过将 AI 部署在本地,用户无需依赖云端服务即可享受快速、私密的智能辅助,真正实现了“你的数据,你做主”。其独特的技术亮点在于强大的网关架构,将控制平面与核心助手分离,确保跨平台通信的流畅性与扩展性。 OpenClaw 非常适合希望构建个性化工作流的技术爱好者、开发者,以及注重隐私保护且不愿被单一生态绑定的普通用户。只要具备基础的终端操作能力(支持 macOS、Linux 及 Windows WSL2),即可通过简单的命令行引导完成部署。如果你渴望拥有一个懂你
stable-diffusion-webui
stable-diffusion-webui 是一个基于 Gradio 构建的网页版操作界面,旨在让用户能够轻松地在本地运行和使用强大的 Stable Diffusion 图像生成模型。它解决了原始模型依赖命令行、操作门槛高且功能分散的痛点,将复杂的 AI 绘图流程整合进一个直观易用的图形化平台。 无论是希望快速上手的普通创作者、需要精细控制画面细节的设计师,还是想要深入探索模型潜力的开发者与研究人员,都能从中获益。其核心亮点在于极高的功能丰富度:不仅支持文生图、图生图、局部重绘(Inpainting)和外绘(Outpainting)等基础模式,还独创了注意力机制调整、提示词矩阵、负向提示词以及“高清修复”等高级功能。此外,它内置了 GFPGAN 和 CodeFormer 等人脸修复工具,支持多种神经网络放大算法,并允许用户通过插件系统无限扩展能力。即使是显存有限的设备,stable-diffusion-webui 也提供了相应的优化选项,让高质量的 AI 艺术创作变得触手可及。
everything-claude-code
everything-claude-code 是一套专为 AI 编程助手(如 Claude Code、Codex、Cursor 等)打造的高性能优化系统。它不仅仅是一组配置文件,而是一个经过长期实战打磨的完整框架,旨在解决 AI 代理在实际开发中面临的效率低下、记忆丢失、安全隐患及缺乏持续学习能力等核心痛点。 通过引入技能模块化、直觉增强、记忆持久化机制以及内置的安全扫描功能,everything-claude-code 能显著提升 AI 在复杂任务中的表现,帮助开发者构建更稳定、更智能的生产级 AI 代理。其独特的“研究优先”开发理念和针对 Token 消耗的优化策略,使得模型响应更快、成本更低,同时有效防御潜在的攻击向量。 这套工具特别适合软件开发者、AI 研究人员以及希望深度定制 AI 工作流的技术团队使用。无论您是在构建大型代码库,还是需要 AI 协助进行安全审计与自动化测试,everything-claude-code 都能提供强大的底层支持。作为一个曾荣获 Anthropic 黑客大奖的开源项目,它融合了多语言支持与丰富的实战钩子(hooks),让 AI 真正成长为懂上
ComfyUI
ComfyUI 是一款功能强大且高度模块化的视觉 AI 引擎,专为设计和执行复杂的 Stable Diffusion 图像生成流程而打造。它摒弃了传统的代码编写模式,采用直观的节点式流程图界面,让用户通过连接不同的功能模块即可构建个性化的生成管线。 这一设计巧妙解决了高级 AI 绘图工作流配置复杂、灵活性不足的痛点。用户无需具备编程背景,也能自由组合模型、调整参数并实时预览效果,轻松实现从基础文生图到多步骤高清修复等各类复杂任务。ComfyUI 拥有极佳的兼容性,不仅支持 Windows、macOS 和 Linux 全平台,还广泛适配 NVIDIA、AMD、Intel 及苹果 Silicon 等多种硬件架构,并率先支持 SDXL、Flux、SD3 等前沿模型。 无论是希望深入探索算法潜力的研究人员和开发者,还是追求极致创作自由度的设计师与资深 AI 绘画爱好者,ComfyUI 都能提供强大的支持。其独特的模块化架构允许社区不断扩展新功能,使其成为当前最灵活、生态最丰富的开源扩散模型工具之一,帮助用户将创意高效转化为现实。
gemini-cli
gemini-cli 是一款由谷歌推出的开源 AI 命令行工具,它将强大的 Gemini 大模型能力直接集成到用户的终端环境中。对于习惯在命令行工作的开发者而言,它提供了一条从输入提示词到获取模型响应的最短路径,无需切换窗口即可享受智能辅助。 这款工具主要解决了开发过程中频繁上下文切换的痛点,让用户能在熟悉的终端界面内直接完成代码理解、生成、调试以及自动化运维任务。无论是查询大型代码库、根据草图生成应用,还是执行复杂的 Git 操作,gemini-cli 都能通过自然语言指令高效处理。 它特别适合广大软件工程师、DevOps 人员及技术研究人员使用。其核心亮点包括支持高达 100 万 token 的超长上下文窗口,具备出色的逻辑推理能力;内置 Google 搜索、文件操作及 Shell 命令执行等实用工具;更独特的是,它支持 MCP(模型上下文协议),允许用户灵活扩展自定义集成,连接如图像生成等外部能力。此外,个人谷歌账号即可享受免费的额度支持,且项目基于 Apache 2.0 协议完全开源,是提升终端工作效率的理想助手。
markitdown
MarkItDown 是一款由微软 AutoGen 团队打造的轻量级 Python 工具,专为将各类文件高效转换为 Markdown 格式而设计。它支持 PDF、Word、Excel、PPT、图片(含 OCR)、音频(含语音转录)、HTML 乃至 YouTube 链接等多种格式的解析,能够精准提取文档中的标题、列表、表格和链接等关键结构信息。 在人工智能应用日益普及的今天,大语言模型(LLM)虽擅长处理文本,却难以直接读取复杂的二进制办公文档。MarkItDown 恰好解决了这一痛点,它将非结构化或半结构化的文件转化为模型“原生理解”且 Token 效率极高的 Markdown 格式,成为连接本地文件与 AI 分析 pipeline 的理想桥梁。此外,它还提供了 MCP(模型上下文协议)服务器,可无缝集成到 Claude Desktop 等 LLM 应用中。 这款工具特别适合开发者、数据科学家及 AI 研究人员使用,尤其是那些需要构建文档检索增强生成(RAG)系统、进行批量文本分析或希望让 AI 助手直接“阅读”本地文件的用户。虽然生成的内容也具备一定可读性,但其核心优势在于为机器