early-stopping-pytorch
early-stopping-pytorch 是一款专为 PyTorch 框架设计的轻量级工具,旨在通过“早停”机制优化模型训练过程。在深度学习训练中,模型容易因过度学习训练数据而产生“过拟合”,导致在新数据上表现不佳。该工具通过实时监控验证集损失(Validation Loss),当发现指标在连续多个周期(Epoch)内不再下降时,自动终止训练,从而有效防止过拟合并节省计算资源。
此外,early-stopping-pytorch 具备智能检查点保存功能。它会在验证损失每次降低时自动保存当前最优模型状态,确保用户最终获得的是泛化能力最强的版本,而非训练结束时的模型。用户只需简单初始化对象并将其嵌入训练循环,即可通过设置“耐心值”(patience)灵活控制等待优化的周期数。
这款工具特别适合使用 PyTorch 进行模型开发的算法工程师、科研人员及学生。无论是复现经典论文还是探索新架构,它都能以极低的代码侵入性提升实验效率。其设计灵感源自 PyTorch Ignite 库,但提供了更独立、便捷的调用方式,是构建稳健深度学习工作流的实用助手。
使用场景
某计算机视觉团队正在训练一个基于 PyTorch 的医学影像分类模型,需要在有限的 GPU 资源下快速迭代并防止过拟合。
没有 early-stopping-pytorch 时
- 开发人员必须手动编写冗长的逻辑来监控验证集损失,代码耦合度高且容易出错。
- 难以精准判断停止时机,往往因训练轮数设置过多,导致模型在验证集性能下降后仍继续空转,浪费数小时的算力。
- 缺乏自动化的最佳模型保存机制,经常错过验证损失最低的时刻,最终只能使用过拟合的权重文件。
- 每次调整“耐心值”(patience)都需要修改多处循环中断条件,实验复现和参数调优效率极低。
使用 early-stopping-pytorch 后
- 只需实例化
EarlyStopping对象并在训练循环中调用一行代码,即可自动接管验证损失的监控逻辑。 - 当验证损失连续多个 epoch 未改善时,工具自动触发中断,立即释放 GPU 资源,将无效训练时间降至零。
- 内置检查点机制会在每次验证损失下降时自动保存最优模型权重,确保始终获取泛化能力最强的版本。
- 通过简单配置
patience参数即可灵活控制容忍度,无需改动主训练流程,大幅提升了实验迭代速度。
early-stopping-pytorch 通过将复杂的正则化策略封装为简洁接口,帮助开发者在避免过拟合的同时,显著节省了计算成本并保证了模型交付质量。
运行环境要求
未说明
未说明

快速开始
PyTorch 的早停法
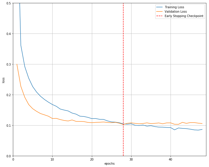
早停法是一种正则化技术,用于防止模型在训练数据集上过拟合。它会持续监控验证损失;如果验证损失连续多个 epoch 没有下降,训练就会提前终止。位于 early_stopping_pytorch/early_stopping.py 中的 EarlyStopping 类用于创建一个对象,以便在训练 PyTorch 模型时跟踪验证损失。每当验证损失降低时,该类都会保存一次模型检查点。我们可以通过设置 EarlyStopping 类中的 patience 参数来指定,在验证损失最后一次改善之后,希望等待多少个 epoch 才中断训练循环。MNIST_Early_Stopping_example 笔记本中提供了一个简单的使用示例。
下方是来自示例笔记本的图表,展示了 EarlyStopping 对象在模型开始过拟合之前所保存的最后一个检查点。该示例中将耐心期设置为 20。

安装
方法 1:从 PyPI 安装(推荐)
pip install early-stopping-pytorch
方法 2:从源代码安装
适用于开发场景或希望获取最新未发布的更改时:
1. 克隆仓库
git clone https://github.com/your_username/early-stopping-pytorch.git
cd early-stopping-pytorch
2. 设置虚拟环境
运行设置脚本以创建虚拟环境并安装所有必要的依赖项。
./setup_dev_env.sh
3. 激活虚拟环境
激活虚拟环境:
source dev-venv/bin/activate
4. 以可编辑模式安装包
以可编辑模式在本地安装该包,以便立即使用:
pip install -e .
使用方法
from early_stopping_pytorch import EarlyStopping
# 初始化早停对象
early_stopping = EarlyStopping(patience=7, verbose=True)
# 在训练循环中:
for epoch in range(num_epochs):
# ... 训练代码 ...
val_loss = ... # 计算验证损失
# 调用早停机制
early_stopping(val_loss, model)
if early_stopping.early_stop:
print("触发早停")
break
完整的示例请参阅 MNIST 早停示例笔记本。
引用
如果您在研究中使用了本包,请考虑按以下格式引用:
@misc{early_stopping_pytorch,
author = {Bjarte Mehus Sunde},
title = {early-stopping-pytorch: 用于 PyTorch 的早停实用工具包},
year = {2024},
url = {https://github.com/Bjarten/early-stopping-pytorch},
}
参考文献
early_stopping_pytorch/early_stopping.py 中的 EarlyStopping 类灵感来源于 ignite 的 EarlyStopping 类。
版本历史
v1.0.102024/11/11v1.0.92024/11/11v1.0.82024/11/11v1.0.72024/11/11v1.0.52024/11/11v1.0.42024/11/11v1.0.32024/11/11v1.0.22024/11/11v1.0.12024/11/10v1.0.02024/10/18v0.1.02024/10/14常见问题
相似工具推荐
openclaw
OpenClaw 是一款专为个人打造的本地化 AI 助手,旨在让你在自己的设备上拥有完全可控的智能伙伴。它打破了传统 AI 助手局限于特定网页或应用的束缚,能够直接接入你日常使用的各类通讯渠道,包括微信、WhatsApp、Telegram、Discord、iMessage 等数十种平台。无论你在哪个聊天软件中发送消息,OpenClaw 都能即时响应,甚至支持在 macOS、iOS 和 Android 设备上进行语音交互,并提供实时的画布渲染功能供你操控。 这款工具主要解决了用户对数据隐私、响应速度以及“始终在线”体验的需求。通过将 AI 部署在本地,用户无需依赖云端服务即可享受快速、私密的智能辅助,真正实现了“你的数据,你做主”。其独特的技术亮点在于强大的网关架构,将控制平面与核心助手分离,确保跨平台通信的流畅性与扩展性。 OpenClaw 非常适合希望构建个性化工作流的技术爱好者、开发者,以及注重隐私保护且不愿被单一生态绑定的普通用户。只要具备基础的终端操作能力(支持 macOS、Linux 及 Windows WSL2),即可通过简单的命令行引导完成部署。如果你渴望拥有一个懂你
stable-diffusion-webui
stable-diffusion-webui 是一个基于 Gradio 构建的网页版操作界面,旨在让用户能够轻松地在本地运行和使用强大的 Stable Diffusion 图像生成模型。它解决了原始模型依赖命令行、操作门槛高且功能分散的痛点,将复杂的 AI 绘图流程整合进一个直观易用的图形化平台。 无论是希望快速上手的普通创作者、需要精细控制画面细节的设计师,还是想要深入探索模型潜力的开发者与研究人员,都能从中获益。其核心亮点在于极高的功能丰富度:不仅支持文生图、图生图、局部重绘(Inpainting)和外绘(Outpainting)等基础模式,还独创了注意力机制调整、提示词矩阵、负向提示词以及“高清修复”等高级功能。此外,它内置了 GFPGAN 和 CodeFormer 等人脸修复工具,支持多种神经网络放大算法,并允许用户通过插件系统无限扩展能力。即使是显存有限的设备,stable-diffusion-webui 也提供了相应的优化选项,让高质量的 AI 艺术创作变得触手可及。
everything-claude-code
everything-claude-code 是一套专为 AI 编程助手(如 Claude Code、Codex、Cursor 等)打造的高性能优化系统。它不仅仅是一组配置文件,而是一个经过长期实战打磨的完整框架,旨在解决 AI 代理在实际开发中面临的效率低下、记忆丢失、安全隐患及缺乏持续学习能力等核心痛点。 通过引入技能模块化、直觉增强、记忆持久化机制以及内置的安全扫描功能,everything-claude-code 能显著提升 AI 在复杂任务中的表现,帮助开发者构建更稳定、更智能的生产级 AI 代理。其独特的“研究优先”开发理念和针对 Token 消耗的优化策略,使得模型响应更快、成本更低,同时有效防御潜在的攻击向量。 这套工具特别适合软件开发者、AI 研究人员以及希望深度定制 AI 工作流的技术团队使用。无论您是在构建大型代码库,还是需要 AI 协助进行安全审计与自动化测试,everything-claude-code 都能提供强大的底层支持。作为一个曾荣获 Anthropic 黑客大奖的开源项目,它融合了多语言支持与丰富的实战钩子(hooks),让 AI 真正成长为懂上
ComfyUI
ComfyUI 是一款功能强大且高度模块化的视觉 AI 引擎,专为设计和执行复杂的 Stable Diffusion 图像生成流程而打造。它摒弃了传统的代码编写模式,采用直观的节点式流程图界面,让用户通过连接不同的功能模块即可构建个性化的生成管线。 这一设计巧妙解决了高级 AI 绘图工作流配置复杂、灵活性不足的痛点。用户无需具备编程背景,也能自由组合模型、调整参数并实时预览效果,轻松实现从基础文生图到多步骤高清修复等各类复杂任务。ComfyUI 拥有极佳的兼容性,不仅支持 Windows、macOS 和 Linux 全平台,还广泛适配 NVIDIA、AMD、Intel 及苹果 Silicon 等多种硬件架构,并率先支持 SDXL、Flux、SD3 等前沿模型。 无论是希望深入探索算法潜力的研究人员和开发者,还是追求极致创作自由度的设计师与资深 AI 绘画爱好者,ComfyUI 都能提供强大的支持。其独特的模块化架构允许社区不断扩展新功能,使其成为当前最灵活、生态最丰富的开源扩散模型工具之一,帮助用户将创意高效转化为现实。
gemini-cli
gemini-cli 是一款由谷歌推出的开源 AI 命令行工具,它将强大的 Gemini 大模型能力直接集成到用户的终端环境中。对于习惯在命令行工作的开发者而言,它提供了一条从输入提示词到获取模型响应的最短路径,无需切换窗口即可享受智能辅助。 这款工具主要解决了开发过程中频繁上下文切换的痛点,让用户能在熟悉的终端界面内直接完成代码理解、生成、调试以及自动化运维任务。无论是查询大型代码库、根据草图生成应用,还是执行复杂的 Git 操作,gemini-cli 都能通过自然语言指令高效处理。 它特别适合广大软件工程师、DevOps 人员及技术研究人员使用。其核心亮点包括支持高达 100 万 token 的超长上下文窗口,具备出色的逻辑推理能力;内置 Google 搜索、文件操作及 Shell 命令执行等实用工具;更独特的是,它支持 MCP(模型上下文协议),允许用户灵活扩展自定义集成,连接如图像生成等外部能力。此外,个人谷歌账号即可享受免费的额度支持,且项目基于 Apache 2.0 协议完全开源,是提升终端工作效率的理想助手。
markitdown
MarkItDown 是一款由微软 AutoGen 团队打造的轻量级 Python 工具,专为将各类文件高效转换为 Markdown 格式而设计。它支持 PDF、Word、Excel、PPT、图片(含 OCR)、音频(含语音转录)、HTML 乃至 YouTube 链接等多种格式的解析,能够精准提取文档中的标题、列表、表格和链接等关键结构信息。 在人工智能应用日益普及的今天,大语言模型(LLM)虽擅长处理文本,却难以直接读取复杂的二进制办公文档。MarkItDown 恰好解决了这一痛点,它将非结构化或半结构化的文件转化为模型“原生理解”且 Token 效率极高的 Markdown 格式,成为连接本地文件与 AI 分析 pipeline 的理想桥梁。此外,它还提供了 MCP(模型上下文协议)服务器,可无缝集成到 Claude Desktop 等 LLM 应用中。 这款工具特别适合开发者、数据科学家及 AI 研究人员使用,尤其是那些需要构建文档检索增强生成(RAG)系统、进行批量文本分析或希望让 AI 助手直接“阅读”本地文件的用户。虽然生成的内容也具备一定可读性,但其核心优势在于为机器