CS224n
CS224n 是斯坦福大学经典的“深度学习自然语言处理”课程配套开源项目,旨在通过实战作业帮助学习者深入理解 NLP 核心算法。它系统性地解决了从基础理论到复杂模型应用的学习断层问题,涵盖了 Softmax 分类、词向量(word2vec)、情感分析、依存句法分析、语言建模以及命名实体识别(NER)等关键任务。
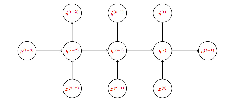
该项目特别适合人工智能开发者、高校学生及 NLP 研究人员使用。对于希望夯实理论基础并提升代码实现能力的学习者,CS224n 提供了从零构建神经网络的绝佳机会。其独特亮点在于“手把手”的教学设计:用户需亲手编写代码实现循环神经网络(RNN)、长短期记忆网络(LSTM)及门控循环单元(GRU),并通过真实的训练日志和混淆矩阵直观观察模型性能优化过程。虽然项目基于早期的 Python 2.7 和 TensorFlow 1.2 环境,但其清晰的作业结构和严谨的数学推导逻辑,至今仍是进入深度学习自然语言处理领域不可多得的入门指南。
使用场景
某初创科技公司的算法团队正致力于构建一个能自动从新闻中抽取实体并分析情感倾向的舆情监控系统,但初期模型效果迟迟无法达标。
没有 CS224n 时
- 团队在从零实现 word2vec 和 Softmax 分类器时,因缺乏标准参考代码,导致梯度更新逻辑错误频发,训练过程极不稳定。
- 在进行命名实体识别(NER)任务时,由于未掌握窗口法与循环神经网络(RNN)的正确架构,模型对“组织”和“杂项”实体的召回率低于 70%,漏报严重。
- 依赖解析(Dependency Parsing)模块的开发陷入停滞,团队成员不清楚如何构建基于转移的神经解析器,无法量化评估无标记依附率(UAS)。
- 面对 RNN 梯度消失问题束手无策,缺乏对 GRU 等变体及其梯度裁剪技巧的系统性实践,导致长文本建模完全失效。
使用 CS224n 后
- 直接复用作业中经过验证的 word2vec 和神经网络基础代码,快速修正了反向传播的实现偏差,模型收敛速度提升显著。
- 借鉴 NER 作业中的窗口模型与 RNN 架构,将实体识别的 F1 值从 0.75 提升至 0.85 以上,混淆矩阵显示各类实体识别更加均衡精准。
- 依据依赖解析作业的完整流程,成功复现了神经转移解析器,在测试集上达到了 88.92% 的 UAS,满足了生产环境的精度要求。
- 通过实践 GRU 相关实验,掌握了梯度裁剪等关键技巧,有效解决了长序列训练难题,使系统能准确处理长篇新闻报道的情感分析。
CS224n 不仅提供了一套高质量的深度学习 NLP 代码模板,更通过系统的作业实战帮助团队跨越了从理论公式到工程落地的巨大鸿沟。
运行环境要求
未说明
未说明

快速开始
CS224n
CS224n:深度学习自然语言处理 作业 冬季,2017年
要求
- Python 2.7
- TensorFlow r1.2
作业 #1
- Softmax
- 神经网络基础
- word2vec

- 情感分析

作业 #2
- Tensorflow Softmax
- 基于转移的依存句法分析
924/924 [==============================] - 49s - 训练损失: 0.0631
在开发集上评估 - 开发集 UAS: 88.54
新的最佳开发集 UAS!正在将模型保存到 ./data/weights/parser.weights
================================================================================
测试
================================================================================
恢复在开发集上找到的最佳模型权重
在测试集上的最终评估 - 测试集 UAS: 88.92
写入预测结果
完成!
- 循环神经网络:语言建模

作业 #3
- NER 的窗口
调试:词级别混淆矩阵:
go\gu PER ORG LOC MISC O
PER 2968 26 84 16 55
ORG 147 1621 131 65 128
LOC 48 88 1896 26 36
MISC 37 40 54 1030 107
O 42 46 18 39 42614
调试:词级别得分:
label acc prec rec f1
PER 0.99 0.92 0.94 0.93
ORG 0.99 0.89 0.77 0.83
LOC 0.99 0.87 0.91 0.89
MISC 0.99 0.88 0.81 0.84
O 0.99 0.99 1.00 0.99
micro 0.99 0.98 0.98 0.98
macro 0.99 0.91 0.89 0.90
not-O 0.99 0.89 0.87 0.88
信息:实体级别 P/R/F1:0.82/0.85/0.84
- 用于 NER 的循环神经网络
调试:词级别混淆矩阵:
go\gu PER ORG LOC MISC O
PER 2987 32 47 12 71
ORG 136 1684 90 70 112
LOC 39 83 1907 21 44
MISC 43 45 47 1031 102
O 36 56 15 34 42618
调试:词级别得分:
label acc prec rec f1
PER 0.99 0.92 0.95 0.93
ORG 0.99 0.89 0.80 0.84
LOC 0.99 0.91 0.91 0.91
MISC 0.99 0.88 0.81 0.85
O 0.99 0.99 1.00 0.99
micro 0.99 0.98 0.98 0.98
macro 0.99 0.92 0.89 0.91
not-O 0.99 0.90 0.88 0.89
信息:实体级别 P/R/F1:0.85/0.86/0.85
- 使用 GRU 进行训练

调试:词级别混淆矩阵:
go\gu PER ORG LOC MISC O
PER 2920 41 57 12 119
ORG 101 1716 73 64 138
LOC 22 95 1908 16 53
MISC 37 45 53 1017 116
O 21 67 14 39 42618
调试:词级别得分:
label acc prec rec f1
PER 0.99 0.94 0.93 0.93
ORG 0.99 0.87 0.82 0.85
LOC 0.99 0.91 0.91 0.91
MISC 0.99 0.89 0.80 0.84
O 0.99 0.99 1.00 0.99
micro 0.99 0.98 0.98 0.98
macro 0.99 0.92 0.89 0.90
not-O 0.99 0.91 0.88 0.89
信息:实体级别 P/R/F1:0.86/0.85/0.85
- 复活节彩蛋大搜寻!
- 运行
python q3_gru.py dynamics来打开你的糖果蛋
- 运行
参考资料
CS224n 官方网站
许多代码片段来自
相似工具推荐
stable-diffusion-webui
stable-diffusion-webui 是一个基于 Gradio 构建的网页版操作界面,旨在让用户能够轻松地在本地运行和使用强大的 Stable Diffusion 图像生成模型。它解决了原始模型依赖命令行、操作门槛高且功能分散的痛点,将复杂的 AI 绘图流程整合进一个直观易用的图形化平台。 无论是希望快速上手的普通创作者、需要精细控制画面细节的设计师,还是想要深入探索模型潜力的开发者与研究人员,都能从中获益。其核心亮点在于极高的功能丰富度:不仅支持文生图、图生图、局部重绘(Inpainting)和外绘(Outpainting)等基础模式,还独创了注意力机制调整、提示词矩阵、负向提示词以及“高清修复”等高级功能。此外,它内置了 GFPGAN 和 CodeFormer 等人脸修复工具,支持多种神经网络放大算法,并允许用户通过插件系统无限扩展能力。即使是显存有限的设备,stable-diffusion-webui 也提供了相应的优化选项,让高质量的 AI 艺术创作变得触手可及。
everything-claude-code
everything-claude-code 是一套专为 AI 编程助手(如 Claude Code、Codex、Cursor 等)打造的高性能优化系统。它不仅仅是一组配置文件,而是一个经过长期实战打磨的完整框架,旨在解决 AI 代理在实际开发中面临的效率低下、记忆丢失、安全隐患及缺乏持续学习能力等核心痛点。 通过引入技能模块化、直觉增强、记忆持久化机制以及内置的安全扫描功能,everything-claude-code 能显著提升 AI 在复杂任务中的表现,帮助开发者构建更稳定、更智能的生产级 AI 代理。其独特的“研究优先”开发理念和针对 Token 消耗的优化策略,使得模型响应更快、成本更低,同时有效防御潜在的攻击向量。 这套工具特别适合软件开发者、AI 研究人员以及希望深度定制 AI 工作流的技术团队使用。无论您是在构建大型代码库,还是需要 AI 协助进行安全审计与自动化测试,everything-claude-code 都能提供强大的底层支持。作为一个曾荣获 Anthropic 黑客大奖的开源项目,它融合了多语言支持与丰富的实战钩子(hooks),让 AI 真正成长为懂上
ComfyUI
ComfyUI 是一款功能强大且高度模块化的视觉 AI 引擎,专为设计和执行复杂的 Stable Diffusion 图像生成流程而打造。它摒弃了传统的代码编写模式,采用直观的节点式流程图界面,让用户通过连接不同的功能模块即可构建个性化的生成管线。 这一设计巧妙解决了高级 AI 绘图工作流配置复杂、灵活性不足的痛点。用户无需具备编程背景,也能自由组合模型、调整参数并实时预览效果,轻松实现从基础文生图到多步骤高清修复等各类复杂任务。ComfyUI 拥有极佳的兼容性,不仅支持 Windows、macOS 和 Linux 全平台,还广泛适配 NVIDIA、AMD、Intel 及苹果 Silicon 等多种硬件架构,并率先支持 SDXL、Flux、SD3 等前沿模型。 无论是希望深入探索算法潜力的研究人员和开发者,还是追求极致创作自由度的设计师与资深 AI 绘画爱好者,ComfyUI 都能提供强大的支持。其独特的模块化架构允许社区不断扩展新功能,使其成为当前最灵活、生态最丰富的开源扩散模型工具之一,帮助用户将创意高效转化为现实。
NextChat
NextChat 是一款轻量且极速的 AI 助手,旨在为用户提供流畅、跨平台的大模型交互体验。它完美解决了用户在多设备间切换时难以保持对话连续性,以及面对众多 AI 模型不知如何统一管理的痛点。无论是日常办公、学习辅助还是创意激发,NextChat 都能让用户随时随地通过网页、iOS、Android、Windows、MacOS 或 Linux 端无缝接入智能服务。 这款工具非常适合普通用户、学生、职场人士以及需要私有化部署的企业团队使用。对于开发者而言,它也提供了便捷的自托管方案,支持一键部署到 Vercel 或 Zeabur 等平台。 NextChat 的核心亮点在于其广泛的模型兼容性,原生支持 Claude、DeepSeek、GPT-4 及 Gemini Pro 等主流大模型,让用户在一个界面即可自由切换不同 AI 能力。此外,它还率先支持 MCP(Model Context Protocol)协议,增强了上下文处理能力。针对企业用户,NextChat 提供专业版解决方案,具备品牌定制、细粒度权限控制、内部知识库整合及安全审计等功能,满足公司对数据隐私和个性化管理的高标准要求。
ML-For-Beginners
ML-For-Beginners 是由微软推出的一套系统化机器学习入门课程,旨在帮助零基础用户轻松掌握经典机器学习知识。这套课程将学习路径规划为 12 周,包含 26 节精炼课程和 52 道配套测验,内容涵盖从基础概念到实际应用的完整流程,有效解决了初学者面对庞大知识体系时无从下手、缺乏结构化指导的痛点。 无论是希望转型的开发者、需要补充算法背景的研究人员,还是对人工智能充满好奇的普通爱好者,都能从中受益。课程不仅提供了清晰的理论讲解,还强调动手实践,让用户在循序渐进中建立扎实的技能基础。其独特的亮点在于强大的多语言支持,通过自动化机制提供了包括简体中文在内的 50 多种语言版本,极大地降低了全球不同背景用户的学习门槛。此外,项目采用开源协作模式,社区活跃且内容持续更新,确保学习者能获取前沿且准确的技术资讯。如果你正寻找一条清晰、友好且专业的机器学习入门之路,ML-For-Beginners 将是理想的起点。
ragflow
RAGFlow 是一款领先的开源检索增强生成(RAG)引擎,旨在为大语言模型构建更精准、可靠的上下文层。它巧妙地将前沿的 RAG 技术与智能体(Agent)能力相结合,不仅支持从各类文档中高效提取知识,还能让模型基于这些知识进行逻辑推理和任务执行。 在大模型应用中,幻觉问题和知识滞后是常见痛点。RAGFlow 通过深度解析复杂文档结构(如表格、图表及混合排版),显著提升了信息检索的准确度,从而有效减少模型“胡编乱造”的现象,确保回答既有据可依又具备时效性。其内置的智能体机制更进一步,使系统不仅能回答问题,还能自主规划步骤解决复杂问题。 这款工具特别适合开发者、企业技术团队以及 AI 研究人员使用。无论是希望快速搭建私有知识库问答系统,还是致力于探索大模型在垂直领域落地的创新者,都能从中受益。RAGFlow 提供了可视化的工作流编排界面和灵活的 API 接口,既降低了非算法背景用户的上手门槛,也满足了专业开发者对系统深度定制的需求。作为基于 Apache 2.0 协议开源的项目,它正成为连接通用大模型与行业专有知识之间的重要桥梁。