Awesome-LongTailed-Learning
Awesome-LongTailed-Learning 是一个专为深度学习领域打造的开源资源库与代码合集,源自发表于顶级期刊 TPAMI 2023 的综述论文《Deep Long-Tailed Learning: A Survey》。它主要致力于解决人工智能训练中常见的“长尾分布”难题:即在现实数据集中,少数类别样本丰富,而绝大多数类别样本稀缺,导致模型对稀有类别的识别能力严重不足。
该项目不仅系统梳理了该领域的最新进展,将现有方法科学地划分为重采样、信息增强、模块改进等三大类及九个子方向,还提供了一个持续更新的顶会论文清单(涵盖 ICCV 等会议),并附带了多种主流算法的代码实现与实证分析。其独特的技术亮点在于清晰的分类体系(如解耦训练、对数调整、表示学习等)以及从理论综述到代码复现的一站式支持。
Awesome-LongTailed-Learning 非常适合 AI 研究人员、算法工程师及计算机视觉开发者使用。无论是希望快速了解长尾学习前沿动态的学者,还是需要在实际项目中提升模型对稀缺样本识别能力的开发者,都能从中获得宝贵的理论指引和实用的代码参考,从而高效推动相关技术的落地与研究。
使用场景
某医疗影像初创公司的算法团队正在开发一款罕见皮肤病辅助诊断系统,面临训练数据中常见病症样本海量而罕见病症样本极少的严峻挑战。
没有 Awesome-LongTailed-Learning 时
- 模型严重偏科:直接训练导致模型“偷懒”,只愿识别常见皮肤病,对罕见病的召回率几乎为零,无法满足临床筛查需求。
- 试错成本高昂:团队需从零复现论文中的重采样或损失函数调整策略,缺乏统一代码基准,耗费数周时间仍在调试超参数。
- 技术选型盲目:面对类平衡、信息增强、模块改进等三大类九小种技术方案,缺乏系统性对比,难以判断哪种最适合当前数据分布。
- 泛化能力薄弱:自行设计的简单加权方法在噪声干扰下表现不稳定,导致模型在实际医院部署时误报率居高不下。
使用 Awesome-LongTailed-Learning 后
- 性能显著提升:直接调用库中经过验证的
LA(Logit Adjustment)或Decoupled Training代码,罕见病识别准确率在三天内从 15% 提升至 68%。 - 研发效率飞跃:依托 curated list 和标准化代码库,团队迅速定位到适合医疗场景的
Representation Learning方案,将算法验证周期从数周缩短至两天。 - 决策科学清晰:参考综述中的分类图谱和实证分析,快速锁定“解耦训练 + 语义增强”组合策略,避免了盲目的技术试探。
- 鲁棒性增强:采用集成的前沿算法(如 2025 年 ICCV 收录的噪声标签处理方法),有效抵抗数据标注噪声,模型在医院实地测试中表现稳定。
Awesome-LongTailed-Learning 通过提供系统化的理论指引与开箱即用的代码基座,让开发者在数据极度不平衡的场景下也能高效构建公平、精准的深度学习模型。
运行环境要求
未说明
未说明

快速开始
令人惊叹的长尾学习(TPAMI 2023)
我们向社区发布了*深度长尾学习:综述以及*我们的代码库。在这篇综述中,我们回顾了基于深度神经网络的长尾学习领域的最新进展。现有的长尾学习研究可以归纳为三大类(即类别重平衡、信息增强和模块改进),而这三大类又可进一步细分为九个小类(如图所示)。此外,我们还通过评估几种最先进方法在多大程度上解决了类别不平衡问题,对其进行了实证分析。最后,我们总结了深度长尾学习的重要应用,并指出了未来研究的若干有前景的方向。
完成这篇综述后,我们决定公开我们的长尾学习资源和代码库,以期推动该领域的社区发展。如果您有任何问题或建议,请随时与我们联系。
1. 长尾学习的类型
| 符号 | 采样 |
CSL |
LA |
TL |
Aug |
|---|---|---|---|---|---|
| 类型 | 重采样 | 类别敏感学习 | 激活值调整 | 迁移学习 | 数据增强 |
| 符号 | RL |
CD |
DT |
Ensemble |
other |
|---|---|---|---|---|---|
| 类型 | 表征学习 | 分类器设计 | 解耦训练 | 集成学习 | 其他类型 |
2. 顶级会议论文(更新至2025年6月)
2025
2024年
2023年
2022年
2021年
2020
| 标题 | 会议/期刊 | 年份 | 类型 | 代码 |
|---|---|---|---|---|
| 用于长尾视觉识别的平衡元Softmax | NeurIPS | 2020 | 采样,CSL |
官方 |
| 针对不均衡数据集的后验重校准 | NeurIPS | 2020 | LA |
官方 |
| 通过保留良性动量并消除不良动量因果效应进行长尾分类 | NeurIPS | 2020 | LA,CD |
官方 |
| 重新思考标签在改善类别不平衡学习中的价值 | NeurIPS | 2020 | TL,RL |
官方 |
| 魔鬼藏在分类中:一种用于长尾实例分割的简单框架 | ECCV | 2020 | 采样,DT,集成 |
官方 |
| 基于分区水库采样的不均衡持续学习 | ECCV | 2020 | 采样 |
官方 |
| 用于长尾数据集多标签分类的分布平衡损失 | ECCV | 2020 | CSL |
官方 |
| 针对长尾数据的特征空间增强 | ECCV | 2020 | TL,增强,DT |
|
| 向多位专家学习:用于长尾分类的自定节奏知识蒸馏 | ECCV | 2020 | TL,集成 |
官方 |
| 使用深度真实分类学分类器解决长尾识别问题 | ECCV | 2020 | CD |
官方 |
| 学习分割尾巴 | CVPR | 2020 | 采样,TL |
官方 |
| BBN:具有累积学习功能的双分支网络,用于长尾视觉识别 | CVPR | 2020 | 采样,集成 |
官方 |
| 利用平衡组Softmax克服长尾目标检测中的分类器不平衡 | CVPR | 2020 | 采样,集成 |
官方 |
| 从领域适应视角重新思考用于长尾视觉识别的类别平衡方法 | CVPR | 2020 | CSL |
官方 |
| 用于长尾目标识别的均衡化损失 | CVPR | 2020 | CSL |
官方 |
| 领域平衡:长尾领域上的人脸识别 | CVPR | 2020 | CSL |
|
| M2m:通过多数到少数的转换进行不均衡分类 | CVPR | 2020 | TL,增强 |
官方 |
| 长尾数据上的深度表示学习:可学习嵌入增强视角 | CVPR | 2020 | TL,增强,RL |
|
| 利用区域自注意力扩充情景记忆以进行长尾视觉识别 | CVPR | 2020 | RL |
|
| 解耦表示与分类器以进行长尾识别 | ICLR | 2020 | 采样,CSL,RL,CD,DT |
官方 |
2019
| 标题 | 会议/期刊 | 年份 | 类型 | 代码 |
|---|---|---|---|---|
| 元加权网络:学习样本加权的显式映射 | NeurIPS | 2019 | CSL |
官方 |
| 基于标签分布感知间隔损失的学习不平衡数据集 | NeurIPS | 2019 | CSL |
官方 |
| 面向不平衡数据分类的动态课程学习 | ICCV | 2019 | Sampling |
|
| 基于有效样本数的类别平衡损失 | CVPR | 2019 | CSL |
官方 |
| 用不确定性取得恰当平衡 | CVPR | 2019 | CSL |
|
| 针对欠代表数据的人脸识别特征迁移学习 | CVPR | 2019 | TL,Aug |
|
| 长尾噪声数据下的深度人脸识别不均衡训练 | CVPR | 2019 | RL |
官方 |
| 开放世界中的大规模长尾识别 | CVPR | 2019 | RL |
官方 |
2018年
| 标题 | 会议/期刊 | 年份 | 类型 | 代码 |
|---|---|---|---|---|
| 大规模细粒度分类与领域特定的迁移学习 | CVPR | 2018 | TL |
官方 |
2017年
| 标题 | 会议/期刊 | 年份 | 类型 | 代码 |
|---|---|---|---|---|
| 学习建模长尾部分 | NeurIPS | 2017 | CSL |
|
| 密集目标检测中的焦点损失 | ICCV | 2017 | CSL |
|
| 长尾训练数据下深度人脸识别的范围损失 | ICCV | 2017 | RL |
|
| 不平衡深度学习中的类别校正困难挖掘 | ICCV | 2017 | RL |
2016年
| 标题 | 会议/期刊 | 年份 | 类型 | 代码 |
|---|---|---|---|---|
| 用于不平衡分类的深度表示学习 | CVPR | 2016 | Sampling,RL |
|
| 长尾分布下目标检测深度模型微调的影响因素 | CVPR | 2016 | CSL,RL |
3. 基准数据集
| 数据集 | 长尾任务 | # 类别 | # 训练数据 | # 测试数据 |
|---|---|---|---|---|
| ImageNet-LT | 分类 | 1,000 | 115,846 | 50,000 |
| CIFAR100-LT | 分类 | 100 | 50,000 | 10,000 |
| Places-LT | 分类 | 365 | 62,500 | 36,500 |
| iNaturalist 2018 | 分类 | 8,142 | 437,513 | 24,426 |
| LVIS v0.5 | 检测和分割 | 1,230 | 57,000 | 20,000 |
| LVIS v1 | 检测和分割 | 1,203 | 100,000 | 19,800 |
| VOC-LT | 多标签分类 | 20 | 1,142 | 4,952 |
| COCO-LT | 多标签分类 | 80 | 1,909 | 5,000 |
| VideoLT | 视频分类 | 1,004 | 179,352 | 25,622 |
4. 我们的代码库
要使用我们的代码库,请安装依赖项:
pip install -r requirements.txt- 硬件要求:建议使用4张显存≥23GB的GPU。
- ImageNet-LT数据集:请下载ImageNet-1K数据集,并将其放置在./data文件夹中。
data └──ImageNet ├── train └── val - Softmax:
cd ./Main-codebase 训练:python3 main.py --seed 1 --cfg config/ImageNet_LT/ce.yaml --exp_name imagenet/CE --gpu 0,1,2,3 - 加权Softmax:
cd ./Main-codebase 训练:python3 main.py --seed 1 --cfg config/ImageNet_LT/weighted_ce.yaml --exp_name imagenet/weighted_ce --gpu 0,1,2,3 - ESQL(均衡化损失):
cd ./Main-codebase 训练:python3 main.py --seed 1 --cfg config/ImageNet_LT/seql.yaml --exp_name imagenet/seql --gpu 0,1,2,3 - 平衡Softmax:
cd ./Main-codebase 训练:python3 main.py --seed 1 --cfg config/ImageNet_LT/balanced_softmax.yaml --exp_name imagenet/BS --gpu 0,1,2,3 - LADE:
cd ./Main-codebase 训练:python3 main.py --seed 1 --cfg config/ImageNet_LT/lade.yaml --exp_name imagenet/LADE --gpu 0,1,2,3 - 去混杂(因果):
cd ./Main-codebase 训练:python3 main.py --seed 1 --cfg config/ImageNet_LT/causal.yaml --exp_name imagenet/causal --remine_lambda 0.1 --alpha 0.005 --gpu 0,1,2,3 - 解耦(IB-CRT):
cd ./Main-codebase 第一阶段训练:python3 main.py --seed 1 --cfg config/ImageNet_LT/ce.yaml --exp_name imagenet/CE --gpu 0,1,2,3 第二阶段训练:python3 main.py --cfg ./config/ImageNet_LT/cls_crt.yaml --model_dir exp_results/imagenet/CE/final_model_checkpoint.pth --gpu 0,1,2,3 - MiSLAS:
cd ./MiSLAS-codebase 第一阶段训练:CUDA_VISIBLE_DEVICES=0,1,2,3 python3 train_stage1.py --cfg config/imagenet/imagenet_resnext50_stage1_mixup.yaml 第二阶段训练:CUDA_VISIBLE_DEVICES=0,1,2,3 python3 train_stage2.py --cfg config/imagenet/imagenet_resnext50_stage2_mislas.yaml resume checkpoint_path 评估:CUDA_VISIBLE_DEVICES=0 python3 eval.py --cfg ./config/imagenet/imagenet_resnext50_stage2_mislas.yaml resume checkpoint_path_stage2 - RSG:
cd ./RSG-codebase 训练:python3 imagenet_lt_train.py 评估:python3 imagenet_lt_test.py - ResLT:
cd ./ResLT-codebase 训练:CUDA_VISIBLE_DEVICES=0,1,2,3 bash sh/X50.sh 评估:CUDA_VISIBLE_DEVICES=0 bash sh/X50_eval.sh # 测试性能可在日志文件中找到。 - PaCo:
cd ./PaCo-codebase 训练:CUDA_VISIBLE_DEVICES=0,1,2,3 bash sh/ImageNetLT_train_X50.sh 评估:CUDA_VISIBLE_DEVICES=0 bash sh/ImageNetLT_eval_X50.sh # 测试性能可在日志文件中找到。 - LDAM:
cd ./Ensemble-codebase 训练:CUDA_VISIBLE_DEVICES=0,1,2,3 python3 train.py -c ./configs/config_imagenet_lt_resnext50_ldam.json 评估:CUDA_VISIBLE_DEVICES=0 python3 test.py -r checkpoint_path - RIDE:
cd ./Ensemble-codebase 训练:CUDA_VISIBLE_DEVICES=0,1,2,3 python3 train.py -c ./configs/config_imagenet_lt_resnext50_ride.json 评估:CUDA_VISIBLE_DEVICES=0 python3 test.py -r checkpoint_path - SADE:
cd ./Ensemble-codebase 训练:CUDA_VISIBLE_DEVICES=0,1,2,3 python3 train.py -c ./configs/config_imagenet_lt_resnext50_sade.json 评估:CUDA_VISIBLE_DEVICES=0 python3 test.py -r checkpoint_path
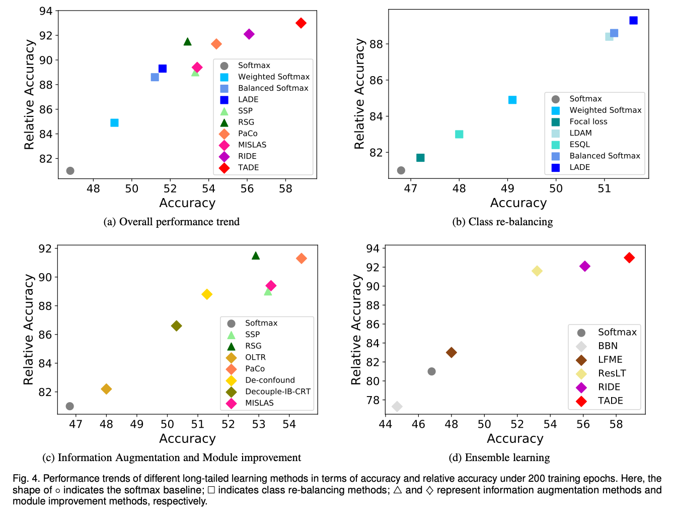
5. 实证研究
(1) 长尾基准测试性能
- 我们在ImageNet-LT上评估了几种最先进的方法,以了解它们通过新的评估指标(即UA和RA)在多大程度上处理类别不平衡问题。我们根据类别重平衡(CR)、信息增强(IA)和模块改进(MI)对这些方法进行了分类。
- 几乎所有长尾方法在准确率方面都优于Softmax基线,这表明长尾学习的有效性。
- 对于大多数长尾方法来说,训练200个epoch能够带来更好的性能,因为充分的训练使深度模型能够更好地拟合数据并学习更好的图像表示。
- 除了准确率之外,我们还基于UA和RA评估了长尾方法。对于具有较高UA的方法,其性能提升不仅来自于类别不平衡的缓解,还可能来自其他因素,如数据增强或更好的网络架构。因此,仅使用准确率进行评估并不够准确,而我们提出的RA指标则是一个很好的补充,因为它可以减轻类别不平衡以外因素的影响。
- 例如,基于数据混合的MiSLAS在90个训练epoch下,其准确率高于平衡Softmax,但它的UA也更高。因此,MiSLAS的相对准确率低于平衡Softmax,这意味着在90个训练epoch下,平衡Softmax比MiSLAS更能有效缓解类别不平衡。
- 尽管一些近期高精度的方法RA较低,但从下图可以看出,长尾学习的整体发展趋势仍然是积极的。
- 目前在准确率和RA方面都处于最先进水平的长尾方法是SADE(一种基于集成的方法)。
(2) 关于代价敏感损失的更多讨论
- 我们进一步评估了基于解耦训练方案的不同代价敏感学习损失的表现。
- 与联合训练相比,解耦训练可以进一步提高除平衡Softmax(BS)之外的大多数代价敏感学习方法的整体性能。
- 尽管BS在单阶段训练下表现优于其他代价敏感损失,但在解耦训练下它们的表现却相当接近。这表明,虽然这些代价敏感损失在联合训练下的表现不同,但它们本质上学习到的特征表示质量是相似的。
5. 引用
如果本仓库对您有所帮助,请引用我们的综述。
@article{zhang2023deep, title={Deep long-tailed learning: A survey}, author={Zhang, Yifan and Kang, Bingyi and Hooi, Bryan and Yan, Shuicheng and Feng, Jiashi}, journal={IEEE Transactions on Pattern Analysis and Machine Intelligence}, year={2023}, publisher={IEEE} }5. 其他资源
相似工具推荐
ML-For-Beginners
ML-For-Beginners 是由微软推出的一套系统化机器学习入门课程,旨在帮助零基础用户轻松掌握经典机器学习知识。这套课程将学习路径规划为 12 周,包含 26 节精炼课程和 52 道配套测验,内容涵盖从基础概念到实际应用的完整流程,有效解决了初学者面对庞大知识体系时无从下手、缺乏结构化指导的痛点。 无论是希望转型的开发者、需要补充算法背景的研究人员,还是对人工智能充满好奇的普通爱好者,都能从中受益。课程不仅提供了清晰的理论讲解,还强调动手实践,让用户在循序渐进中建立扎实的技能基础。其独特的亮点在于强大的多语言支持,通过自动化机制提供了包括简体中文在内的 50 多种语言版本,极大地降低了全球不同背景用户的学习门槛。此外,项目采用开源协作模式,社区活跃且内容持续更新,确保学习者能获取前沿且准确的技术资讯。如果你正寻找一条清晰、友好且专业的机器学习入门之路,ML-For-Beginners 将是理想的起点。
ragflow
RAGFlow 是一款领先的开源检索增强生成(RAG)引擎,旨在为大语言模型构建更精准、可靠的上下文层。它巧妙地将前沿的 RAG 技术与智能体(Agent)能力相结合,不仅支持从各类文档中高效提取知识,还能让模型基于这些知识进行逻辑推理和任务执行。 在大模型应用中,幻觉问题和知识滞后是常见痛点。RAGFlow 通过深度解析复杂文档结构(如表格、图表及混合排版),显著提升了信息检索的准确度,从而有效减少模型“胡编乱造”的现象,确保回答既有据可依又具备时效性。其内置的智能体机制更进一步,使系统不仅能回答问题,还能自主规划步骤解决复杂问题。 这款工具特别适合开发者、企业技术团队以及 AI 研究人员使用。无论是希望快速搭建私有知识库问答系统,还是致力于探索大模型在垂直领域落地的创新者,都能从中受益。RAGFlow 提供了可视化的工作流编排界面和灵活的 API 接口,既降低了非算法背景用户的上手门槛,也满足了专业开发者对系统深度定制的需求。作为基于 Apache 2.0 协议开源的项目,它正成为连接通用大模型与行业专有知识之间的重要桥梁。
PaddleOCR
PaddleOCR 是一款基于百度飞桨框架开发的高性能开源光学字符识别工具包。它的核心能力是将图片、PDF 等文档中的文字提取出来,转换成计算机可读取的结构化数据,让机器真正“看懂”图文内容。 面对海量纸质或电子文档,PaddleOCR 解决了人工录入效率低、数字化成本高的问题。尤其在人工智能领域,它扮演着连接图像与大型语言模型(LLM)的桥梁角色,能将视觉信息直接转化为文本输入,助力智能问答、文档分析等应用场景落地。 PaddleOCR 适合开发者、算法研究人员以及有文档自动化需求的普通用户。其技术优势十分明显:不仅支持全球 100 多种语言的识别,还能在 Windows、Linux、macOS 等多个系统上运行,并灵活适配 CPU、GPU、NPU 等各类硬件。作为一个轻量级且社区活跃的开源项目,PaddleOCR 既能满足快速集成的需求,也能支撑前沿的视觉语言研究,是处理文字识别任务的理想选择。
awesome-machine-learning
awesome-machine-learning 是一份精心整理的机器学习资源清单,汇集了全球优秀的机器学习框架、库和软件工具。面对机器学习领域技术迭代快、资源分散且难以甄选的痛点,这份清单按编程语言(如 Python、C++、Go 等)和应用场景(如计算机视觉、自然语言处理、深度学习等)进行了系统化分类,帮助使用者快速定位高质量项目。 它特别适合开发者、数据科学家及研究人员使用。无论是初学者寻找入门库,还是资深工程师对比不同语言的技术选型,都能从中获得极具价值的参考。此外,清单还延伸提供了免费书籍、在线课程、行业会议、技术博客及线下聚会等丰富资源,构建了从学习到实践的全链路支持体系。 其独特亮点在于严格的维护标准:明确标记已停止维护或长期未更新的项目,确保推荐内容的时效性与可靠性。作为机器学习领域的“导航图”,awesome-machine-learning 以开源协作的方式持续更新,旨在降低技术探索门槛,让每一位从业者都能高效地站在巨人的肩膀上创新。
scikit-learn
scikit-learn 是一个基于 Python 构建的开源机器学习库,依托于 SciPy、NumPy 等科学计算生态,旨在让机器学习变得简单高效。它提供了一套统一且简洁的接口,涵盖了从数据预处理、特征工程到模型训练、评估及选择的全流程工具,内置了包括线性回归、支持向量机、随机森林、聚类等在内的丰富经典算法。 对于希望快速验证想法或构建原型的数据科学家、研究人员以及 Python 开发者而言,scikit-learn 是不可或缺的基础设施。它有效解决了机器学习入门门槛高、算法实现复杂以及不同模型间调用方式不统一的痛点,让用户无需重复造轮子,只需几行代码即可调用成熟的算法解决分类、回归、聚类等实际问题。 其核心技术亮点在于高度一致的 API 设计风格,所有估算器(Estimator)均遵循相同的调用逻辑,极大地降低了学习成本并提升了代码的可读性与可维护性。此外,它还提供了强大的模型选择与评估工具,如交叉验证和网格搜索,帮助用户系统地优化模型性能。作为一个由全球志愿者共同维护的成熟项目,scikit-learn 以其稳定性、详尽的文档和活跃的社区支持,成为连接理论学习与工业级应用的最
keras
Keras 是一个专为人类设计的深度学习框架,旨在让构建和训练神经网络变得简单直观。它解决了开发者在不同深度学习后端之间切换困难、模型开发效率低以及难以兼顾调试便捷性与运行性能的痛点。 无论是刚入门的学生、专注算法的研究人员,还是需要快速落地产品的工程师,都能通过 Keras 轻松上手。它支持计算机视觉、自然语言处理、音频分析及时间序列预测等多种任务。 Keras 3 的核心亮点在于其独特的“多后端”架构。用户只需编写一套代码,即可灵活选择 TensorFlow、JAX、PyTorch 或 OpenVINO 作为底层运行引擎。这一特性不仅保留了 Keras 一贯的高层易用性,还允许开发者根据需求自由选择:利用 JAX 或 PyTorch 的即时执行模式进行高效调试,或切换至速度最快的后端以获得最高 350% 的性能提升。此外,Keras 具备强大的扩展能力,能无缝从本地笔记本电脑扩展至大规模 GPU 或 TPU 集群,是连接原型开发与生产部署的理想桥梁。