DeepLearningNotes
DeepLearningNotes 是基于经典教材《深度学习》整理的开源手推笔记项目。它将原著中晦涩的数学公式与理论概念进行逐步拆解,帮助学习者直观掌握深度学习核心原理。
面对原版教材复杂的矩阵运算和概率论知识,许多初学者容易感到困惑。DeepLearningNotes 致力于解决这一痛点,通过清晰的图文结合方式,还原关键算法的推导过程,有效降低学习门槛。项目由资深 AI 博士团队维护,内容涵盖机器学习基础、深度神经网络核心知识及前沿研究三大板块,结构完整且持续更新。
该项目适合计算机专业学生、AI 研究人员及希望夯实基础的开发者。其亮点在于提供高清扫描版 PDF 下载,并包含详细的数学符号对照表,确保知识的准确性与可读性。对于渴望深入理解深度学习底层逻辑的学习者而言,这是一份极具价值的辅助资料,能帮助大家在阅读厚书时不再迷失方向。
使用场景
背景:一名算法工程师在复现经典论文时,面对《深度学习》原著中复杂的数学推导感到吃力,急需辅助资料理清思路。
没有 DeepLearningNotes 时
- 原著公式密集且符号定义繁杂,阅读时频繁卡顿,容易迷失在数学细节中
- 关键章节如反向传播或正则化的梯度推导过程跳跃,难以理解中间变换步骤
- 需要反复翻阅教材外的线性代数和概率论基础,导致学习路径不连贯且效率低下
- 纸质书不便携带,无法随时打印重点进行手写演算,难以巩固记忆
使用 DeepLearningNotes 后
- 配套的手推笔记将复杂公式拆解为清晰步骤,直观展示推导逻辑,快速定位难点
- 涵盖从线性代数到卷积神经网络的完整知识链,减少基础复习时间,建立系统认知
- 提供高清扫描版 PDF,支持离线下载和打印,方便随时随地复盘核心概念
- 作者对符号系统进行了统一规范,消除了原著中的歧义困扰,提升阅读流畅度
核心价值:将晦涩的理论转化为可视化的手推过程,极大降低了深度学习入门与进阶的理解门槛。
运行环境要求
- 未说明
未说明
未说明

快速开始
深度学习笔记
(博士另一个笔记 《机器学习手推笔记》) 《深度学习》手推笔记~持续更新中 最后更新:2019/07/11
更新日志
- 2020/01/02 * - 更新深度学习符号
- 2020/01/20 * - 更新第一章 上传了图片
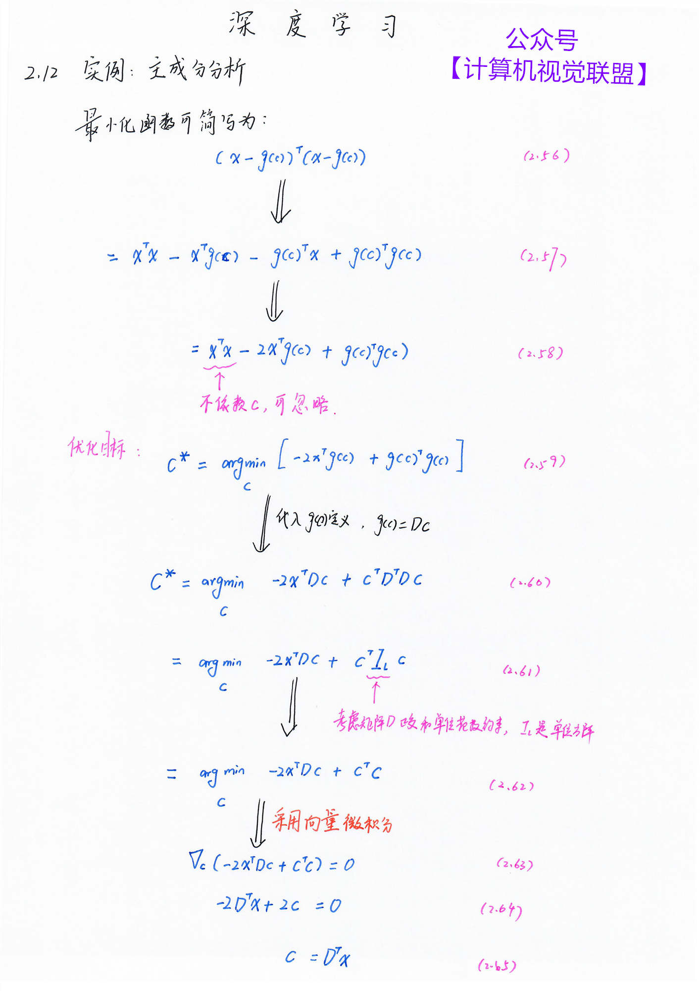
- 2020/02/03 * - 更新第二章 上传了图片
- 2020/02/16 * - 更新第三章 上传了图片
- 2020/02/25 * - 更新第四章
- 2020/03/04 * - 更新第五章
- 2020/04/01 * - 想办法扫描
- 2020/05/22 * - 上传图片成功!
- 2020/05/22 * - 开放下载,公开已扫描 pdf,见文末作者简介
目录
第一部分 机器学习基础
第二部分 深度神经网络核心知识
第三部分 深度学习前沿研究
数学符号
| 1 | 2 | 3 | 4 |
|---|---|---|---|
![]() |
![]() |
![]() |
![]() |
第一章 引言
| 1 | 2 | 3 | 4 |
|---|---|---|---|
![]() |
![]() |
![]() |
![]() |
![]() |
![]() |
![]() |
![]() |
![]() |
![]() |
--作者 王博 Kings |
第二章 线性代数
| 1 | 2 | 3 | 4 |
|---|---|---|---|
![]() |
![]() |
![]() |
![]() |
![]() |
![]() |
![]() |
![]() |
![]() |
![]() |
![]() |
![]() |
![]() |
--作者 王博 Kings |
第三章 概率论
| 1 | 2 | 3 | 4 |
|---|---|---|---|
![]() |
![]() |
![]() |
![]() |
![]() |
![]() |
![]() |
![]() |
![]() |
![]() |
![]() |
![]() |
![]() |
![]() |
![]() |
--作者 王博 Kings |
作者【计算机视觉联盟】王博(Kings)、Sophia
作者其他手推笔记 《机器学习手推笔记》
手推笔记已经持续更新,可以下载打印
【计算机视觉联盟】回复【深度学习手推笔记】即可获得百度云 pdf 下载链接
可加博士交流
微信号(Kingsplus)备注:单位/学校 + 研究方向,分享最新的 AI 思维导图和笔记

笔记作者:王博简介
985AI 博士,CSDN 博客专家
已连载系列《机器学习》西瓜书手推笔记
已完结待更笔记:《深度学习 - 花书手推笔记》、《无人驾驶手推笔记》、《SLAM 十四讲》
微信号(Kingsplus)
相似工具推荐
stable-diffusion-webui
stable-diffusion-webui 是一个基于 Gradio 构建的网页版操作界面,旨在让用户能够轻松地在本地运行和使用强大的 Stable Diffusion 图像生成模型。它解决了原始模型依赖命令行、操作门槛高且功能分散的痛点,将复杂的 AI 绘图流程整合进一个直观易用的图形化平台。 无论是希望快速上手的普通创作者、需要精细控制画面细节的设计师,还是想要深入探索模型潜力的开发者与研究人员,都能从中获益。其核心亮点在于极高的功能丰富度:不仅支持文生图、图生图、局部重绘(Inpainting)和外绘(Outpainting)等基础模式,还独创了注意力机制调整、提示词矩阵、负向提示词以及“高清修复”等高级功能。此外,它内置了 GFPGAN 和 CodeFormer 等人脸修复工具,支持多种神经网络放大算法,并允许用户通过插件系统无限扩展能力。即使是显存有限的设备,stable-diffusion-webui 也提供了相应的优化选项,让高质量的 AI 艺术创作变得触手可及。
everything-claude-code
everything-claude-code 是一套专为 AI 编程助手(如 Claude Code、Codex、Cursor 等)打造的高性能优化系统。它不仅仅是一组配置文件,而是一个经过长期实战打磨的完整框架,旨在解决 AI 代理在实际开发中面临的效率低下、记忆丢失、安全隐患及缺乏持续学习能力等核心痛点。 通过引入技能模块化、直觉增强、记忆持久化机制以及内置的安全扫描功能,everything-claude-code 能显著提升 AI 在复杂任务中的表现,帮助开发者构建更稳定、更智能的生产级 AI 代理。其独特的“研究优先”开发理念和针对 Token 消耗的优化策略,使得模型响应更快、成本更低,同时有效防御潜在的攻击向量。 这套工具特别适合软件开发者、AI 研究人员以及希望深度定制 AI 工作流的技术团队使用。无论您是在构建大型代码库,还是需要 AI 协助进行安全审计与自动化测试,everything-claude-code 都能提供强大的底层支持。作为一个曾荣获 Anthropic 黑客大奖的开源项目,它融合了多语言支持与丰富的实战钩子(hooks),让 AI 真正成长为懂上
ComfyUI
ComfyUI 是一款功能强大且高度模块化的视觉 AI 引擎,专为设计和执行复杂的 Stable Diffusion 图像生成流程而打造。它摒弃了传统的代码编写模式,采用直观的节点式流程图界面,让用户通过连接不同的功能模块即可构建个性化的生成管线。 这一设计巧妙解决了高级 AI 绘图工作流配置复杂、灵活性不足的痛点。用户无需具备编程背景,也能自由组合模型、调整参数并实时预览效果,轻松实现从基础文生图到多步骤高清修复等各类复杂任务。ComfyUI 拥有极佳的兼容性,不仅支持 Windows、macOS 和 Linux 全平台,还广泛适配 NVIDIA、AMD、Intel 及苹果 Silicon 等多种硬件架构,并率先支持 SDXL、Flux、SD3 等前沿模型。 无论是希望深入探索算法潜力的研究人员和开发者,还是追求极致创作自由度的设计师与资深 AI 绘画爱好者,ComfyUI 都能提供强大的支持。其独特的模块化架构允许社区不断扩展新功能,使其成为当前最灵活、生态最丰富的开源扩散模型工具之一,帮助用户将创意高效转化为现实。
NextChat
NextChat 是一款轻量且极速的 AI 助手,旨在为用户提供流畅、跨平台的大模型交互体验。它完美解决了用户在多设备间切换时难以保持对话连续性,以及面对众多 AI 模型不知如何统一管理的痛点。无论是日常办公、学习辅助还是创意激发,NextChat 都能让用户随时随地通过网页、iOS、Android、Windows、MacOS 或 Linux 端无缝接入智能服务。 这款工具非常适合普通用户、学生、职场人士以及需要私有化部署的企业团队使用。对于开发者而言,它也提供了便捷的自托管方案,支持一键部署到 Vercel 或 Zeabur 等平台。 NextChat 的核心亮点在于其广泛的模型兼容性,原生支持 Claude、DeepSeek、GPT-4 及 Gemini Pro 等主流大模型,让用户在一个界面即可自由切换不同 AI 能力。此外,它还率先支持 MCP(Model Context Protocol)协议,增强了上下文处理能力。针对企业用户,NextChat 提供专业版解决方案,具备品牌定制、细粒度权限控制、内部知识库整合及安全审计等功能,满足公司对数据隐私和个性化管理的高标准要求。
ML-For-Beginners
ML-For-Beginners 是由微软推出的一套系统化机器学习入门课程,旨在帮助零基础用户轻松掌握经典机器学习知识。这套课程将学习路径规划为 12 周,包含 26 节精炼课程和 52 道配套测验,内容涵盖从基础概念到实际应用的完整流程,有效解决了初学者面对庞大知识体系时无从下手、缺乏结构化指导的痛点。 无论是希望转型的开发者、需要补充算法背景的研究人员,还是对人工智能充满好奇的普通爱好者,都能从中受益。课程不仅提供了清晰的理论讲解,还强调动手实践,让用户在循序渐进中建立扎实的技能基础。其独特的亮点在于强大的多语言支持,通过自动化机制提供了包括简体中文在内的 50 多种语言版本,极大地降低了全球不同背景用户的学习门槛。此外,项目采用开源协作模式,社区活跃且内容持续更新,确保学习者能获取前沿且准确的技术资讯。如果你正寻找一条清晰、友好且专业的机器学习入门之路,ML-For-Beginners 将是理想的起点。
ragflow
RAGFlow 是一款领先的开源检索增强生成(RAG)引擎,旨在为大语言模型构建更精准、可靠的上下文层。它巧妙地将前沿的 RAG 技术与智能体(Agent)能力相结合,不仅支持从各类文档中高效提取知识,还能让模型基于这些知识进行逻辑推理和任务执行。 在大模型应用中,幻觉问题和知识滞后是常见痛点。RAGFlow 通过深度解析复杂文档结构(如表格、图表及混合排版),显著提升了信息检索的准确度,从而有效减少模型“胡编乱造”的现象,确保回答既有据可依又具备时效性。其内置的智能体机制更进一步,使系统不仅能回答问题,还能自主规划步骤解决复杂问题。 这款工具特别适合开发者、企业技术团队以及 AI 研究人员使用。无论是希望快速搭建私有知识库问答系统,还是致力于探索大模型在垂直领域落地的创新者,都能从中受益。RAGFlow 提供了可视化的工作流编排界面和灵活的 API 接口,既降低了非算法背景用户的上手门槛,也满足了专业开发者对系统深度定制的需求。作为基于 Apache 2.0 协议开源的项目,它正成为连接通用大模型与行业专有知识之间的重要桥梁。









































