xai
XAI 是一个专为机器学习打造的可解释性工具箱,旨在让复杂的 AI 模型决策过程变得透明、易懂。它核心解决了“黑盒”模型难以理解的问题,帮助开发者识别数据中的潜在偏差(如性别或种族歧视),评估模型表现的合理性,并监控生产环境中的异常,从而确保人工智能系统符合伦理标准且值得信赖。
这款工具非常适合机器学习工程师、数据科学家以及关注 AI 伦理的研究人员使用。无论是需要调试模型的开发者,还是希望验证算法公平性的领域专家,都能通过 XAI 获得直观的分析支持。
XAI 的独特之处在于它不仅仅关注算法层面,而是将数据科学最佳实践与领域知识相结合,提供了一套涵盖“数据分析、模型评估、生产监控”的全流程解决方案。基于“负责任的机器学习”八大原则开发,它内置了多种可视化工具,能轻松发现数据不平衡问题,并提供具体方法来减轻不必要的偏见。目前该项目处于 Alpha 阶段,支持 Python 3.5 至 3.7 版本,采用宽松的 MIT 协议开源,是构建可信 AI 系统的得力助手。
使用场景
某金融科技公司风控团队正在构建自动信贷审批模型,急需确保算法决策符合监管合规要求并消除潜在歧视。
没有 xai 时
- 模型出现“黑箱”效应,当拒绝特定人群贷款申请时,团队无法向监管机构提供具体的决策依据。
- 训练数据中隐含的性别或种族偏见难以被察觉,导致模型在上线后对弱势群体产生系统性不公。
- 缺乏系统化的数据平衡性检查工具,只能依赖人工经验猜测数据分布是否均匀,效率低下且易出错。
- 模型上线后若性能突然下降,工程师难以快速定位是数据漂移还是特征失效,排查周期长达数天。
使用 xai 后
- 利用 xai 的可解释性分析功能,团队能生成直观的归因报告,清晰展示每笔拒贷背后的关键特征权重,轻松应对审计。
- 通过内置的偏差检测工具,自动识别并量化数据中的不公平模式,在训练前即可针对性地修正采样策略。
- 调用数据不平衡分析模块,一键可视化各类别分布差异,用数据驱动的方式替代了盲目的人工猜测。
- 建立端到端的监控流程,实时追踪生产环境中的模型表现,一旦检测到异常可立即回溯至具体数据环节进行修复。
xai 将抽象的伦理原则转化为可执行的代码工具,让负责任的 AI 从理念真正落地为可信的生产力。
运行环境要求
- 未说明
未说明
未说明

快速开始
XAI - 机器学习可解释性工具箱
XAI 是一个以人工智能可解释性为核心设计的机器学习库。它包含多种工具,可用于数据和模型的分析与评估。XAI 库由 伦理人工智能与机器学习研究所 维护,并基于 负责任机器学习的八项原则 开发而成。
您可以在 https://ethicalml.github.io/xai/index.html 找到文档。此外,您还可以观看我们在 TensorFlow 伦敦会议上的演讲,其中首次提出了这一理念——该演讲还深入探讨了本库中的定义与原则。
展示如何使用 XAI 减少不良偏见的 YouTube 视频
| 这段 在 PyData 伦敦 2019 大会上发表的演讲视频 概述了机器学习可解释性的动机,以及如何利用 XAI 库引入可解释性并缓解不良偏见的技术。 |
|
| 想了解更多出色的机器学习可解释性工具吗?请查看我们社区共建的 “优秀机器学习生产与运维” 列表,其中包含了大量用于可解释性、隐私保护、工作流编排等方面的工具。 |
|
0.3.0
如果您想亲眼看到一个功能齐全的演示,请克隆此仓库并运行 Examples 文件夹中的 XAI 示例使用笔记本。
我们所说的可解释人工智能是什么意思?
我们认为,可解释性的挑战不仅仅是一个算法层面的问题,它需要将数据科学的最佳实践与领域专业知识相结合。XAI 库旨在帮助机器学习工程师及相关领域的专家分析端到端解决方案,识别可能导致性能低于预期目标的偏差。更广泛地说,XAI 库的设计遵循可解释机器学习的三个步骤:1) 数据分析,2) 模型评估,以及 3) 生产环境监控。
我们在下图中对这三个步骤进行了可视化概述:
XAI 快速入门
安装
先决条件
首先,安装 uv,一个快速的 Python 包管理器:
curl -LsSf https://astral.sh/uv/install.sh | sh
安装 XAI
XAI 包已发布在 PyPI 上。您可以运行以下命令进行安装:
uv pip install xai
或者,您也可以通过克隆仓库并运行以下命令从源代码安装:
uv pip install -e .
其他命令
要清理构建产物和缓存文件:
uv run xai-clean
使用
您可以在 examples 文件夹中找到使用示例。
1) 数据分析
借助 XAI,您可以识别数据中的不平衡问题。为此,我们将加载 XAI 库中的人口普查数据集。
import xai.data
df = xai.data.load_census()
df.head()
查看某一列所有类别的类别不平衡
ims = xai.imbalance_plot(df, "gender")
查看多列中所有类别的不平衡情况
im = xai.imbalance_plot(df, "gender", "loan")
使用过采样和/或欠采样来平衡类别
bal_df = xai.balance(df, "gender", "loan", upsample=0.8)
对分组执行自定义操作
groups = xai.group_by_columns(df, ["gender", "loan"])
for group, group_df in groups:
print(group)
print(group_df["loan"].head(), "\n")
将相关性可视化为矩阵
_ = xai.correlations(df, include_categorical=True, plot_type="matrix")
将相关性可视化为层次聚类树状图
_ = xai.correlations(df, include_categorical=True)
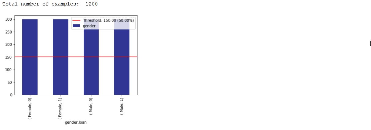
创建平衡的验证集和训练集划分
# 平衡的训练-测试划分,确保目标变量 y 与性别列交叉的每个组合至少有 300 个样本
x_train, y_train, x_test, y_test, train_idx, test_idx = \
xai.balanced_train_test_split(
x, y, "gender",
min_per_group=300,
max_per_group=300,
categorical_cols=categorical_cols)
x_train_display = bal_df[train_idx]
x_test_display = bal_df[test_idx]
print("总样本数:", x_test.shape[0])
df_test = x_test_display.copy()
df_test["loan"] = y_test
_= xai.imbalance_plot(df_test, "gender", "loan", categorical_cols=categorical_cols)
2) 模型评估
我们还可以分析推理结果与输入特征之间的交互作用。为此,我们将训练一个单层深度学习模型。
model = build_model(proc_df.drop("loan", axis=1))
model.fit(f_in(x_train), y_train, epochs=50, batch_size=512)
probabilities = model.predict(f_in(x_test))
predictions = list((probabilities >= 0.5).astype(int).T[0])
可视化排列特征重要性
def get_avg(x, y):
return model.evaluate(f_in(x), y, verbose=0)[1]
imp = xai.feature_importance(x_test, y_test, get_avg)
imp.head()
识别针对所有测试数据的指标不平衡
_= xai.metrics_plot(
y_test,
probabilities)
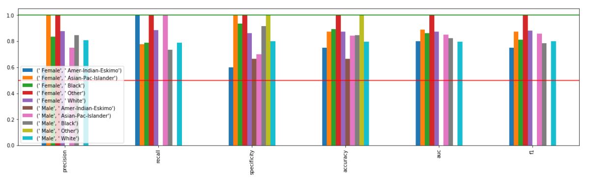
识别特定列上的指标不平衡
_ = xai.metrics_plot(
y_test,
probabilities,
df=x_test_display,
cross_cols=["gender"],
categorical_cols=categorical_cols)
识别多列上的指标不平衡
_ = xai.metrics_plot(
y_test,
probabilities,
df=x_test_display,
cross_cols=["gender", "ethnicity"],
categorical_cols=categorical_cols)
绘制混淆矩阵
xai.confusion_matrix_plot(y_test, pred)
针对所有测试数据可视化ROC曲线
_ = xai.roc_plot(y_test, probabilities)
按受保护列分组的ROC曲线可视化
protected = ["gender", "ethnicity", "age"]
_ = [xai.roc_plot(
y_test,
probabilities,
df=x_test_display,
cross_cols=[p],
categorical_cols=categorical_cols) for p in protected]
按概率区间分组的准确率可视化
d = xai.smile_imbalance(
y_test,
probabilities)
按概率区间分组的统计指标可视化
d = xai.smile_imbalance(
y_test,
probabilities,
display_breakdown=True)
可视化在概率阈值上增加人工审核的好处
d = xai.smile_imbalance(
y_test,
probabilities,
bins=9,
threshold=0.75,
manual_review=0.375,
display_breakdown=False)

版本历史
v0.3.02025/11/29v0.2.02025/11/29v0.1.02021/10/30常见问题
相似工具推荐
stable-diffusion-webui
stable-diffusion-webui 是一个基于 Gradio 构建的网页版操作界面,旨在让用户能够轻松地在本地运行和使用强大的 Stable Diffusion 图像生成模型。它解决了原始模型依赖命令行、操作门槛高且功能分散的痛点,将复杂的 AI 绘图流程整合进一个直观易用的图形化平台。 无论是希望快速上手的普通创作者、需要精细控制画面细节的设计师,还是想要深入探索模型潜力的开发者与研究人员,都能从中获益。其核心亮点在于极高的功能丰富度:不仅支持文生图、图生图、局部重绘(Inpainting)和外绘(Outpainting)等基础模式,还独创了注意力机制调整、提示词矩阵、负向提示词以及“高清修复”等高级功能。此外,它内置了 GFPGAN 和 CodeFormer 等人脸修复工具,支持多种神经网络放大算法,并允许用户通过插件系统无限扩展能力。即使是显存有限的设备,stable-diffusion-webui 也提供了相应的优化选项,让高质量的 AI 艺术创作变得触手可及。
everything-claude-code
everything-claude-code 是一套专为 AI 编程助手(如 Claude Code、Codex、Cursor 等)打造的高性能优化系统。它不仅仅是一组配置文件,而是一个经过长期实战打磨的完整框架,旨在解决 AI 代理在实际开发中面临的效率低下、记忆丢失、安全隐患及缺乏持续学习能力等核心痛点。 通过引入技能模块化、直觉增强、记忆持久化机制以及内置的安全扫描功能,everything-claude-code 能显著提升 AI 在复杂任务中的表现,帮助开发者构建更稳定、更智能的生产级 AI 代理。其独特的“研究优先”开发理念和针对 Token 消耗的优化策略,使得模型响应更快、成本更低,同时有效防御潜在的攻击向量。 这套工具特别适合软件开发者、AI 研究人员以及希望深度定制 AI 工作流的技术团队使用。无论您是在构建大型代码库,还是需要 AI 协助进行安全审计与自动化测试,everything-claude-code 都能提供强大的底层支持。作为一个曾荣获 Anthropic 黑客大奖的开源项目,它融合了多语言支持与丰富的实战钩子(hooks),让 AI 真正成长为懂上
ComfyUI
ComfyUI 是一款功能强大且高度模块化的视觉 AI 引擎,专为设计和执行复杂的 Stable Diffusion 图像生成流程而打造。它摒弃了传统的代码编写模式,采用直观的节点式流程图界面,让用户通过连接不同的功能模块即可构建个性化的生成管线。 这一设计巧妙解决了高级 AI 绘图工作流配置复杂、灵活性不足的痛点。用户无需具备编程背景,也能自由组合模型、调整参数并实时预览效果,轻松实现从基础文生图到多步骤高清修复等各类复杂任务。ComfyUI 拥有极佳的兼容性,不仅支持 Windows、macOS 和 Linux 全平台,还广泛适配 NVIDIA、AMD、Intel 及苹果 Silicon 等多种硬件架构,并率先支持 SDXL、Flux、SD3 等前沿模型。 无论是希望深入探索算法潜力的研究人员和开发者,还是追求极致创作自由度的设计师与资深 AI 绘画爱好者,ComfyUI 都能提供强大的支持。其独特的模块化架构允许社区不断扩展新功能,使其成为当前最灵活、生态最丰富的开源扩散模型工具之一,帮助用户将创意高效转化为现实。
NextChat
NextChat 是一款轻量且极速的 AI 助手,旨在为用户提供流畅、跨平台的大模型交互体验。它完美解决了用户在多设备间切换时难以保持对话连续性,以及面对众多 AI 模型不知如何统一管理的痛点。无论是日常办公、学习辅助还是创意激发,NextChat 都能让用户随时随地通过网页、iOS、Android、Windows、MacOS 或 Linux 端无缝接入智能服务。 这款工具非常适合普通用户、学生、职场人士以及需要私有化部署的企业团队使用。对于开发者而言,它也提供了便捷的自托管方案,支持一键部署到 Vercel 或 Zeabur 等平台。 NextChat 的核心亮点在于其广泛的模型兼容性,原生支持 Claude、DeepSeek、GPT-4 及 Gemini Pro 等主流大模型,让用户在一个界面即可自由切换不同 AI 能力。此外,它还率先支持 MCP(Model Context Protocol)协议,增强了上下文处理能力。针对企业用户,NextChat 提供专业版解决方案,具备品牌定制、细粒度权限控制、内部知识库整合及安全审计等功能,满足公司对数据隐私和个性化管理的高标准要求。
ML-For-Beginners
ML-For-Beginners 是由微软推出的一套系统化机器学习入门课程,旨在帮助零基础用户轻松掌握经典机器学习知识。这套课程将学习路径规划为 12 周,包含 26 节精炼课程和 52 道配套测验,内容涵盖从基础概念到实际应用的完整流程,有效解决了初学者面对庞大知识体系时无从下手、缺乏结构化指导的痛点。 无论是希望转型的开发者、需要补充算法背景的研究人员,还是对人工智能充满好奇的普通爱好者,都能从中受益。课程不仅提供了清晰的理论讲解,还强调动手实践,让用户在循序渐进中建立扎实的技能基础。其独特的亮点在于强大的多语言支持,通过自动化机制提供了包括简体中文在内的 50 多种语言版本,极大地降低了全球不同背景用户的学习门槛。此外,项目采用开源协作模式,社区活跃且内容持续更新,确保学习者能获取前沿且准确的技术资讯。如果你正寻找一条清晰、友好且专业的机器学习入门之路,ML-For-Beginners 将是理想的起点。
ragflow
RAGFlow 是一款领先的开源检索增强生成(RAG)引擎,旨在为大语言模型构建更精准、可靠的上下文层。它巧妙地将前沿的 RAG 技术与智能体(Agent)能力相结合,不仅支持从各类文档中高效提取知识,还能让模型基于这些知识进行逻辑推理和任务执行。 在大模型应用中,幻觉问题和知识滞后是常见痛点。RAGFlow 通过深度解析复杂文档结构(如表格、图表及混合排版),显著提升了信息检索的准确度,从而有效减少模型“胡编乱造”的现象,确保回答既有据可依又具备时效性。其内置的智能体机制更进一步,使系统不仅能回答问题,还能自主规划步骤解决复杂问题。 这款工具特别适合开发者、企业技术团队以及 AI 研究人员使用。无论是希望快速搭建私有知识库问答系统,还是致力于探索大模型在垂直领域落地的创新者,都能从中受益。RAGFlow 提供了可视化的工作流编排界面和灵活的 API 接口,既降低了非算法背景用户的上手门槛,也满足了专业开发者对系统深度定制的需求。作为基于 Apache 2.0 协议开源的项目,它正成为连接通用大模型与行业专有知识之间的重要桥梁。

