deep_complex_networks
deep_complex_networks 是一个专注于复数神经网络实现的开源项目,旨在复现论文《Deep Complex Networks》中的核心实验。传统深度学习模型通常仅在实数域进行运算,而该工具通过引入复数卷积、复数批归一化及复数激活函数等关键组件,让神经网络能够直接在复数域中处理数据。这一创新有效解决了在处理具有相位和幅度特征的数据(如音频信号、雷达图像或特定频域视觉任务)时,传统实数网络信息表达能力受限的问题,显著提升了模型在相关任务上的精度与鲁棒性。
该项目提供了完整的代码库,涵盖计算机视觉与音乐信息检索(MusicNet)两大领域的实验脚本,支持从数据预处理、模型训练到结果可视化的全流程。其技术亮点在于基于 Keras 和 Theano 构建了灵活的复数运算层,允许研究者轻松对比实数与复数模型的性能差异。deep_complex_networks 非常适合人工智能研究人员、算法工程师以及对前沿神经网络架构感兴趣的开发者使用。如果你正在探索非实数域的深度学习方法,或需要复现经典的复数网络实验,这套代码将为你提供坚实的技术基础和参考范例。
使用场景
某音频分析团队正在开发基于 MusicNet 数据集的自动乐器识别系统,试图从复杂的交响乐录音中精准分离并分类不同乐器的声音片段。
没有 deep_complex_networks 时
- 传统实数神经网络在处理音频信号的相位信息时表现乏力,导致模型难以捕捉声音波形中关键的周期性特征。
- 为了弥补相位信息的丢失,团队不得不手动设计繁琐的特征工程(如额外提取瞬时频率),大幅增加了数据预处理的时间成本。
- 模型在嘈杂背景下的泛化能力较差,经常出现将大提琴误判为低音管乐器的情况,精度 - 召回率曲线表现平平。
- 加深网络层数往往导致梯度消失或训练不稳定,限制了模型提取深层抽象音乐特征的能力。
使用 deep_complex_networks 后
- 直接利用复数卷积层原生处理信号的幅度与相位,无需额外特征工程即可完整保留音频波形的内在结构信息。
- 复数域的非线性激活函数显著提升了模型对谐波结构的敏感度,使乐器分类的准确率在测试集上得到实质性突破。
- 借助复数参数空间的丰富表达能力,团队成功构建了更深的卷积网络,有效提取出区分相似音色的高阶特征。
- 训练过程更加稳定收敛,最终生成的精度 - 召回率曲线明显优于传统实数模型,尤其在低信噪比环境下鲁棒性更强。
deep_complex_networks 通过引入复数运算机制,从根本上解决了音频信号处理中相位信息易丢失的难题,让深度学习模型真正“听懂”了音乐的完整波形。
运行环境要求
- 未说明
未说明
未说明

快速开始
深度复数神经网络
本仓库包含用于复现论文《深度复数神经网络》(Deep Complex Networks)中实验的代码。
要求
安装计算机视觉实验所需的依赖包:
pip install numpy Theano keras kerosene
对于音乐实验,则需安装:
pip install scipy sklearn intervaltree resampy
pip install git+git://github.com/bartvm/mimir.git
根据您的 Python 环境,您可能需要使用 Anaconda 或其他工具来管理环境。
安装
pip install .
实验
计算机视觉
获取帮助:
python scripts/run.py train --help运行模型:
python scripts/run.py train -w WORKDIR --model {real,complex} --sf STARTFILTER --nb NUMBEROFBLOCKSPERSTAGE您还可以添加其他参数;请参考
run.py train --help以了解以下内容:- 优化器设置
- Dropout 概率
- 梯度裁剪
- ...
MusicNet
从 官方页面 下载数据集:
mkdir data/ wget https://homes.cs.washington.edu/~thickstn/media/musicnet.npz -P data/使用以下命令对数据集进行重采样:
resample.py data/musicnet.npz data/musicnet_11khz.npz 44100 11000运行浅层模型:
train.py shallow_model --in-memory --model=shallow_convnet --local-data data/musicnet_11khz.npz train.py shallow_complex_model --in-memory --model=complex_shallow_convnet --complex --local-data data/musicnet_11khz.npz运行深层模型:
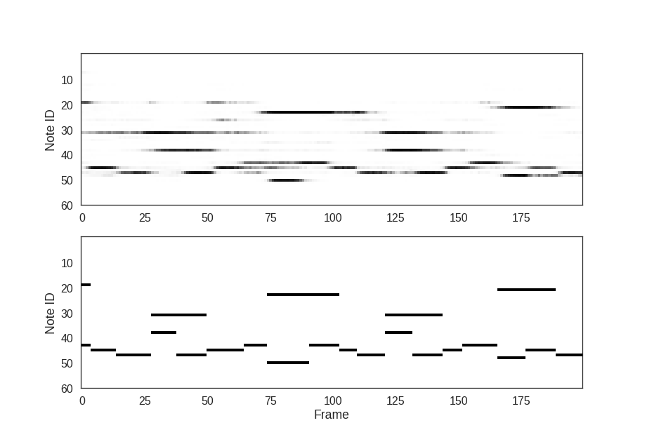
train.py deep_model --in-memory --model=deep_convnet --fourier --local-data data/musicnet_11khz.npz train.py deep_complex_model --in-memory --model=complex_deep_convnet --fourier --complex --local-data data/musicnet_11khz.npz使用 Jupyter Notebook 可视化结果:
运行笔记本
notebooks/visualize_musicnet.ipynb。

引用
请按以下格式引用我们的工作:
@ARTICLE {,
author = "Chiheb Trabelsi, Olexa Bilaniuk, Ying Zhang, Dmitriy Serdyuk, Sandeep Subramanian, João Felipe Santos, Soroush Mehri, Negar Rostamzadeh, Yoshua Bengio, Christopher J Pal",
title = "Deep Complex Networks",
journal = "arXiv preprint arXiv:1705.09792",
year = "2017"
}
常见问题
相似工具推荐
stable-diffusion-webui
stable-diffusion-webui 是一个基于 Gradio 构建的网页版操作界面,旨在让用户能够轻松地在本地运行和使用强大的 Stable Diffusion 图像生成模型。它解决了原始模型依赖命令行、操作门槛高且功能分散的痛点,将复杂的 AI 绘图流程整合进一个直观易用的图形化平台。 无论是希望快速上手的普通创作者、需要精细控制画面细节的设计师,还是想要深入探索模型潜力的开发者与研究人员,都能从中获益。其核心亮点在于极高的功能丰富度:不仅支持文生图、图生图、局部重绘(Inpainting)和外绘(Outpainting)等基础模式,还独创了注意力机制调整、提示词矩阵、负向提示词以及“高清修复”等高级功能。此外,它内置了 GFPGAN 和 CodeFormer 等人脸修复工具,支持多种神经网络放大算法,并允许用户通过插件系统无限扩展能力。即使是显存有限的设备,stable-diffusion-webui 也提供了相应的优化选项,让高质量的 AI 艺术创作变得触手可及。
everything-claude-code
everything-claude-code 是一套专为 AI 编程助手(如 Claude Code、Codex、Cursor 等)打造的高性能优化系统。它不仅仅是一组配置文件,而是一个经过长期实战打磨的完整框架,旨在解决 AI 代理在实际开发中面临的效率低下、记忆丢失、安全隐患及缺乏持续学习能力等核心痛点。 通过引入技能模块化、直觉增强、记忆持久化机制以及内置的安全扫描功能,everything-claude-code 能显著提升 AI 在复杂任务中的表现,帮助开发者构建更稳定、更智能的生产级 AI 代理。其独特的“研究优先”开发理念和针对 Token 消耗的优化策略,使得模型响应更快、成本更低,同时有效防御潜在的攻击向量。 这套工具特别适合软件开发者、AI 研究人员以及希望深度定制 AI 工作流的技术团队使用。无论您是在构建大型代码库,还是需要 AI 协助进行安全审计与自动化测试,everything-claude-code 都能提供强大的底层支持。作为一个曾荣获 Anthropic 黑客大奖的开源项目,它融合了多语言支持与丰富的实战钩子(hooks),让 AI 真正成长为懂上
ComfyUI
ComfyUI 是一款功能强大且高度模块化的视觉 AI 引擎,专为设计和执行复杂的 Stable Diffusion 图像生成流程而打造。它摒弃了传统的代码编写模式,采用直观的节点式流程图界面,让用户通过连接不同的功能模块即可构建个性化的生成管线。 这一设计巧妙解决了高级 AI 绘图工作流配置复杂、灵活性不足的痛点。用户无需具备编程背景,也能自由组合模型、调整参数并实时预览效果,轻松实现从基础文生图到多步骤高清修复等各类复杂任务。ComfyUI 拥有极佳的兼容性,不仅支持 Windows、macOS 和 Linux 全平台,还广泛适配 NVIDIA、AMD、Intel 及苹果 Silicon 等多种硬件架构,并率先支持 SDXL、Flux、SD3 等前沿模型。 无论是希望深入探索算法潜力的研究人员和开发者,还是追求极致创作自由度的设计师与资深 AI 绘画爱好者,ComfyUI 都能提供强大的支持。其独特的模块化架构允许社区不断扩展新功能,使其成为当前最灵活、生态最丰富的开源扩散模型工具之一,帮助用户将创意高效转化为现实。
Deep-Live-Cam
Deep-Live-Cam 是一款专注于实时换脸与视频生成的开源工具,用户仅需一张静态照片,即可通过“一键操作”实现摄像头画面的即时变脸或制作深度伪造视频。它有效解决了传统换脸技术流程繁琐、对硬件配置要求极高以及难以实时预览的痛点,让高质量的数字内容创作变得触手可及。 这款工具不仅适合开发者和技术研究人员探索算法边界,更因其极简的操作逻辑(仅需三步:选脸、选摄像头、启动),广泛适用于普通用户、内容创作者、设计师及直播主播。无论是为了动画角色定制、服装展示模特替换,还是制作趣味短视频和直播互动,Deep-Live-Cam 都能提供流畅的支持。 其核心技术亮点在于强大的实时处理能力,支持口型遮罩(Mouth Mask)以保留使用者原始的嘴部动作,确保表情自然精准;同时具备“人脸映射”功能,可同时对画面中的多个主体应用不同面孔。此外,项目内置了严格的内容安全过滤机制,自动拦截涉及裸露、暴力等不当素材,并倡导用户在获得授权及明确标注的前提下合规使用,体现了技术发展与伦理责任的平衡。
NextChat
NextChat 是一款轻量且极速的 AI 助手,旨在为用户提供流畅、跨平台的大模型交互体验。它完美解决了用户在多设备间切换时难以保持对话连续性,以及面对众多 AI 模型不知如何统一管理的痛点。无论是日常办公、学习辅助还是创意激发,NextChat 都能让用户随时随地通过网页、iOS、Android、Windows、MacOS 或 Linux 端无缝接入智能服务。 这款工具非常适合普通用户、学生、职场人士以及需要私有化部署的企业团队使用。对于开发者而言,它也提供了便捷的自托管方案,支持一键部署到 Vercel 或 Zeabur 等平台。 NextChat 的核心亮点在于其广泛的模型兼容性,原生支持 Claude、DeepSeek、GPT-4 及 Gemini Pro 等主流大模型,让用户在一个界面即可自由切换不同 AI 能力。此外,它还率先支持 MCP(Model Context Protocol)协议,增强了上下文处理能力。针对企业用户,NextChat 提供专业版解决方案,具备品牌定制、细粒度权限控制、内部知识库整合及安全审计等功能,满足公司对数据隐私和个性化管理的高标准要求。
ML-For-Beginners
ML-For-Beginners 是由微软推出的一套系统化机器学习入门课程,旨在帮助零基础用户轻松掌握经典机器学习知识。这套课程将学习路径规划为 12 周,包含 26 节精炼课程和 52 道配套测验,内容涵盖从基础概念到实际应用的完整流程,有效解决了初学者面对庞大知识体系时无从下手、缺乏结构化指导的痛点。 无论是希望转型的开发者、需要补充算法背景的研究人员,还是对人工智能充满好奇的普通爱好者,都能从中受益。课程不仅提供了清晰的理论讲解,还强调动手实践,让用户在循序渐进中建立扎实的技能基础。其独特的亮点在于强大的多语言支持,通过自动化机制提供了包括简体中文在内的 50 多种语言版本,极大地降低了全球不同背景用户的学习门槛。此外,项目采用开源协作模式,社区活跃且内容持续更新,确保学习者能获取前沿且准确的技术资讯。如果你正寻找一条清晰、友好且专业的机器学习入门之路,ML-For-Beginners 将是理想的起点。